Сколько в 200 гр стакане муки: «Сколько муки в 1 стакане 200 мл?» – Яндекс.Кью
Сколько весит стакан риса. Сколько грамм муки в одном стакане
Собираясь побаловать свою семью вкусным, собственноручно приготовленным десертом, многие хозяйки задумываются, сколько граммов сахара в стакане. Ведь если в рецепте указано количество рафинада в граммах, а кухонных весов не имеется, можно серьезно нарушить рецептуру и блюдо заметно потеряет во вкусовых качествах, или вовсе не получится. Или напротив, в рецепте указано, сколько брать, например, граненых стаканов сахара, а для точного расчета калорийности десерта нужна информация о количестве сахара в граммах. На самом деле, 1 стакан сахара — сколько граммов содержит, рассчитать нетрудно. Расчеты можно произвести на наиболее подходящей емкости, и затем принимать ее за эталон.
Какими стаканами измеряют вес сахарного песка
Сколько весит стакан сахара в граммах зависит от типа стакана, его объема, наличия/отсутствия кромки, и даже от периода выпуска. Например, граненые стаканы, выпускаемые в СССР, всегда имели определенный объем — 250 миллилитров.
- Обычный стакан с гладкими краями (его объем может быть разным)
- Граненый стакан с кромкой — 250 мл
- Пластиковый стаканчик — 200 миллилитров
- Мерный стакан
Сколько граммов сахара в граненом стакане
В такую емкость помещается 250 миллилитров. Сыпучие вещества имеют сравнительно большой вес, но между кристалликами сахара присутствует множество пустот. Поэтому вес стакана сахара немного меньше объема стакана воды.
На верху граненого стакана имеется специальная полоска, предназначенная как раз для максимально точного замера объемов, емкость принято наполнять именно по эту линию — если в рецепте не указано, что взять необходимо стакан песка с горкой. В такой стакан до полоски помещается 160 граммов сахарного песка. Если в стакан насыпать рафинада до самой кромки, то это будет 200 гр.
- 100 гр. сахара — полстакана (до кромки)
- 0,5 граненого стакана — 80 гр сахара (до полоски)
- 1/3 стакана сахара — это 57 граммов, насыпанных до полоски и 67 гр., насыпанных до кромки
- 200 граммов сахара — это полный, до кромки, граненый стакан
Сколько граммов сахара в стакане 200 мл
Итак, мы узнали, сколько граммов сахара в стакане 250 мл — напомним, что речь идет о «советском» граненом стакане. Но сегодня уже не у каждой хозяйки найдется такой образец. А чтобы определить вес продукта в любом другом стакане, необходимо для начала узнать его объем. При покупке емкости обращайте внимание на ценники — так вы узнаете не только ее стоимость, но и объем. Если товар куплен давно, но от него сохранилась упаковка, поищите информацию об объеме там.
Чаще всего такие стаканы имеют объем в 200 миллилитров. В него поместится приблизительно 160 грамм сахарного песка.
Если у вас имеется мерный стакан, но вам лень его часто доставать — насыпьте полный, но без горки обычный стакан сахара, а потом пересыпьте содержимое в мерный стаканчик. Посмотрите, какой вес продукта получился, и результат запишите в своей кулинарной книге, или прямо на стаканчиком. Со временем вы запомните эту цифру, и «шпаргалка» уже не будет нужна.
Как измерить вес сахара, если неизвестен объем стакана
Если невозможно найти информацию об объеме имеющейся у вас емкости, можно воспользоваться одной хитростью. Ведь стакан может быть объемом и 200, и 250 и даже 300 мл, особенно, если это стильная емкость нестандартной формы. Возьмите емкость, объем которой хотите определить. Насыпьте в него 7 столовых ложек сахара — обязательно с горкой. Если стакан заполнился полностью, значит, в него помещается приблизительно 160 граммов продукта. Если в емкость влезет 8,5 ложек сахарного песка, значит в него помещается 200 гр. Таким образом, в столовую ложку вмещается 24 грамма продукта.
Обычно в рецепте указано количество стаканов сахара без горки. Поэтому для более точных измерений после того, как насыпали в емкость сахарный песок, проведите по верхушке ножом. «Лишняя» часть рафинада снимется и рассчитать вес продукта будет намного проще.
1 стакан сахара — это сколько граммов в рецептах
Для приготовления десерта или консервации ягод и овощей иногда необходимо много сахара. Мы выяснили, что 200 гр. песка — это один граненый стакан. Именно такая емкость чаще всего подразумевается, когда в рецепте количестов сахара указывается в стаканах. Соответственно, 400 грамм — это два стакана. А в 5 стаканов поместится килограмм сахарного песка.
Чтобы получить 150 граммов сахара, насыпьте полный двухсотграммовый стакан продукта, а затем уберите оттуда 2 столовые ложки, в каждой из которых около 24 граммов рафинада.
Если оттуда уберете еще чайную ложечку сахара — 8 гр., получите около 140 гр.
Если из 200-граммового стакана уберете одну столовую ложку сахара, получите 175 граммов продукта. Если прибавите столовую ложку, но без горки — будет примерно 220 гр. продукта. А чтобы понять, 500 граммов сахара — это сколько стаканов, надо взять два полных граненых стакана (400 гр) и добавить еще 4 столовые ложки.
Таким образом, чтобы выяснить, сколько граммов сахара в стакане, не обязательно в своем кухонном арсенале иметь специальные весы или даже мерный стаканчик. Можно вооружиться обычным стаканом и парой ложек — столовой и чайной. Но учитывайте, что вес продукта в них может слегка варьироваться. В какую-то столовую ложку войдет 22 грамма продукта, в другую — 25 гр. Погрешность небольшая, но про нее лучше не забывать.
Если у вас посуда нестандартной формы, может возникнуть вопрос, сколько граммов сахара в 300 мл стакане. В этом случае в 1 стакане будет 250 гр. продукта. В небольшой стаканчик объемом 100 мл поместится 80 гр.
рафинада.
Для удобства восприятия и запоминания предлагаем таблицу. Она даст краткий ответ на вопрос сколько граммов сахара в стакане.
Вес, гр | Сколько стаканов (граненый, 250 мл) |
1000 гр (1 кг) | |
1,5 стакана | |
1 стакан минус столовая ложка | |
1 стакан + столовая ложка | |
Полстакана плюс столовая ложка |
Для того, чтобы узнать, сколько грамм сахара в 1 столовой ложке, необязательно лезть в шкафчик за кухонными весами или заучивать информацию наизусть.
Сахар, а также другие сыпучие продукты весят примерно одинаково.
Размеры ложек, их вместительность
- столовая ложка — имеется в виду стандартная, 7 см — длина и 4 см – ширина — вмещает в себя 20 г (без верха) или 25 г (с верхом) сахарного песка;
- в более маленькую по размеру ложку, 5 см — длина и 4 см – ширина, влезает 10 и 15 г данного сладкого продукта без горки и с горкой соответственно.
Выходит, не все приборы одинаковы? Можете ради интереса измерить свои приборы, вдруг ошибетесь, накладывая ими сахарный песок.
Определяем количество ложек по массе продукта
Многие хозяйки пользуются мерной ложкой. Она точнее, чем обычная, так как можно провести пальцем и отсыпать идеально ровное количество продукта без горки.
Но что делать, если нужно узнать: 50, 100, 150, 200 грамм сахара — это сколько столовых ложек? 100 граммов сахара содержится в половинке граненого стакана, но если нет и его, то можно обойтись ложкой. Их потребуется:
- 2,5 неполных или 2 заполненных — это 50 г;
- 5 неполных или 4 заполненных равны 100 г;
- 7,5 неполных, 6 заполненных — 150 г;
- 10 неполных или 7,5 заполненных равны 200 г.

Заметьте, 7,5 неполных и полных ложки различаются на 50 г и могут повлечь за собой ошибку в точности. Для 100 и 200 г удобнее отмерять сахар ложкой без холмика, а для 50 и 150 — с холмиком.
Сколько грамм сахара, соли и других продуктов в столовой ложке
Сыпучие продукты несильно различаются по весу, все они примерно одинаковы. Самый легкий из продуктов – пшеничная мука, которая весит всего лишь 10 г, а самый тяжелый — поваренная соль, которая весит 25 г.
Стоит обратить внимание, что обычно значение дается в полных столовых ложках, то есть с верхом. В данном ниже списке приведены максимальные значения.
Для сухих продуктов питания:
- сахар (песок) — 25 г;
- пудра (сахарная) — 25 г;
- поваренная соль — 30 г;
- белый рис — 25 г;
- хлопья из пшеницы — 9 г;
- овсянка — 14 г;
- белая мука — 10 г;
- ячневая крупа — 20 г;
- пшенка — 25 г;
- перловка – 25 г;
- манка — 25 г;
- гречка — 25 г;
- изюм темный — 25 г;
- геркулес — 12 г.

Для жидких продуктов питания:
- уксус столовый 15 % — 15 г;
- паста из томатов — 30 г;
- деревенская сметана — 25 г;
- молоко коровье — 20 г;
- сгущенка — 30 г;
- мед пчелиный — 35 г;
- растопленное масло — 17 г;
- топленое масло — 20 г;
- масло оливковое или подсолнечное — 17 г;
- вода обычная — 18 г;
- ягодное или фруктовое варенье — 50 г.
Стоит отметить, что не всех жидких и вязких продуктов можно наложить полную столовую ложку, например, масла или сгущенного молока. В таком случае по умолчанию считается, что прибор заполнен не полностью.
В таблице ниже можно увидеть, сколько грамм сахара и других продуктов в столовых ложках разного размера:
Обычно сахар в рецепте указан в граммах. Удобнее, конечно, использовать кухонные весы, но если их нет, неплохой заменой может стать стакан или чайная ложка.
Есть несколько вариантов для измерения:
- Чтобы взвесить продукт стаканом, нужно определиться, какой этот стакан.
Если граненый с ободком, то в него войдет 250 г, если же без ободка, то лишь 200; - Столовая ложка помещает в себя 25 г. Десертная — на 10 меньше, чем столовая, 15 г. Неудобнее всего мерить, конечно, чайной — в ней всего 7 г.
Итак, правильно отсыпать количество граммов сухих продуктов стаканом или ложкой не так-то сложно, как казалось. Вся эта посуда вмещает в себя довольно удобный для счета вес. Возможно, когда-нибудь вы сможете на глазок насыпать нужное количество сахарного песка при приготовлении блюда.
Не у каждой хозяйки на кухне имеются точные весы, которые можно использовать для отмеривания необходимого количества продукта, однако стакан, который также можно использовать для этих целей, имеется у многих. При этом, однако, встречая в рецепте обозначение необходимого количества продукта в стаканах, следует иметь в виду, что речь идет о вполне конкретном виде этой тары.Дело в том, что на сегодняшний день в магазинах столовой посуды можно встретить большое разнообразие стаканов.
Однако когда речь идет об использовании этой меры в кулинарных рецептах, в большинстве случаев речь идет о стандартном граненом стакане. Узнать его достаточно просто: он имеет четное количество граней, а верхний край выполнен в виде гладкой окружности. Граница между граненой и гладкой частью стакана носит название риски.
Стакан муки
Стакан используется в кулинарии для измерения двояким образом. С одной стороны, его применяют в качестве меры объема при отмеривании нужного количества жидкости. С другой стороны, он используется в качестве меры веса, если речь идет о твердых или сыпучих продуктах.Например, использование стакана является одним из способов отмерить нужное количество муки. При этом стоит иметь в виду, что вес продукта в стакане будет естественным образом зависеть от степени его наполненности. Дело в том, что в кулинарных рецептах используется два основных варианта наполнения стакана: до верха и до риски. Разумеется, вес окончательного количества муки в этих случаях будет различным, поэтому необходимо обратить особое внимание, о каком именно варианте наполнения стакана идет речь в конкретном рецепте.
Так, если он предполагает наполнение стакана до риски, то общий вес такого количества муки может составить 130-140 граммов. Дело в том, что этот вес может колебаться в зависимости от типа муки, которую вы используете, поскольку она может быть, например, пшеничной, ржаной или гречишной. Кроме того, свое влияние на этот параметр оказывает влажность продукта: так, например, мука, которая хранилась в помещении с высоким уровнем влажности, скорее всего, впитала в себя некоторое количество влаги из воздуха и может весить чуть больше, чем мука, хранившаяся в сухом помещении. Если же стакан необходимо наполнить до верха, то итоговый вес продукта составит в этом случае 150-160 граммов.
Сколько грамм в граненом стакане и откуда возник и чем может быть полезен в быту обыкновенный граненый стакан.
В советское время без него не обходилась ни одна кухня, заводская столовая или поезд. Используют его и сейчас.
Прадедушки граненого
С его появлением на свет связано несколько легенд.
Известный владимирский стеклодув Ефим Смолин подарил Петру 1 новую крепкую посудину для питья. Это был граненый (чтобы не скатывался с корабельного стола во время качки) стакан. Царь решил проверить качество и ударил им об пол со словами: «Стакану быть!». Сосуд, конечно, разбился, но возникла традиция бить посуду на счастье. В 1905 году в музее Фаберже в Баден-Бадене был выставлен натюрморт с изображением скелета селедки, глазуньи и прадедушки граненого стакана.
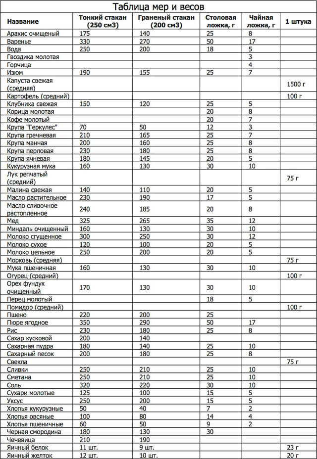
Мерная емкость: Сколько грамм в граненом стакане таблица
Хозяйки уже давно обходятся без специальной мерки — пекут и готовят, отмеряя продукты стаканом.
Сыпучие продукты
К данному типу относится сахар, гречка, мука и многое другое. Если вы столкнулись с рецептом, в состав которого входят сыпучие продукты в граммах, то данная таблица станет полезной на вашей кухне.
| Продукт | Стакан без ободка, 200 мл | Стакан с ободком, 250 мл |
| Сахар | 160 | 200 |
| Рис | 185 | 230 |
| Гречка | 165 | 210 |
| Крупа перловая | 185 | 230 |
| Булгур | 190 | 235 |
| Кускус | 180 | 225 |
| Пшено | 175 | 220 |
| Горох лущеный | 185 | 230 |
| Соль | 255 | 320 |
| Крупа манная | 160 | 200 |
| Мука кукурузная | 145 | 180 |
| Крупа пшеничная | 145 | 180 |
| Крупа ячневая | 145 | 180 |
| Мука пшеничная | 130 | 160 |
| Макаронные изделия | 190 | 230 |
| Хлопья овсяные | 80 | 100 |
| Молоко сухое | 100 | 120 |
| Хлопья кукурузные | 50 | 60 |
| Геркулес | 60 | 75 |
Жидкости
Жидкость имеет относительно фиксированный объем, поэтому ее очень трудно измерить в граммах.
Однако представленная ниже таблица подробно показывает продукты в граммах.
| Продукт | Стакан без ободка, 200 мл | Стакан с ободком, 250 мл |
| Молоко | 200 | 250 |
| Вода | 200 | 250 |
| Кефир | 200 | 250 |
| Сливки | 200 | 250 |
| Йогурт | 200 | 250 |
| Ликер | 200 | 250 |
| Уксус | 200 | 250 |
| Коньяк | 200 | 250 |
| Масло подсолнечное/оливковое | 185 | 230 |
| Масло топленое | 195 | 240 |
| Маргарин топленый | 180 | 225 |
| Жир топленый | 195 | 240 |
Твердые продукты
Данная таблица примерно показывает сколько грамм в граненом стакане, потому что точное содержание будет зависеть от размера и вида.
| Продукт | Стакан без ободка, 200 мл | Стакан с ободком, 250 мл |
| Чечевица мелкая | 175 | 220 |
| Цукаты | 220 | 275 |
| Семечки подсолнуха | 135 | 175 |
| Тыквенные семечки | 95 | 125 |
| Фасоль | 175 | 220 |
| Горох целый | 160 | 200 |
| Грецкий орех молотый | 155 | 190 |
| Чечевица крупная | 160 | 200 |
| Изюм | 155 | 190 |
| Черника свежая | 160 | 200 |
| Черника сушеная | 110 | 130 |
| Вишня | 155 | 190 |
| Крыжовник | 165 | 210 |
| Клюква | 155 | 190 |
| Черешня | 130 | 165 |
| Смородина | 145 | 180 |
| Фундук очищенный | 140 | 175 |
| Арахис очищенный | 140 | 175 |
| Миндаль очищенный | 135 | 170 |
| Клубника | 135 | 170 |
| Грецкий орех очищенный цельный | 135 | 170 |
| Малина | 120 | 150 |
Продукты вязкой консистенции
Давайте теперь рассмотрим последнюю разновидность продуктов питания, которая у нас осталась.
| Продукт | Стакан без ободка, 200 мл | Стакан с ободком, 250 мл |
| Мед | 260 | 325 |
| Сгущенка | 240 | 300 |
| Ягодное/фруктовое пюре | 280 | 350 |
| Сгущенка вареная | 280 | 350 |
| Варенье/ Джем | 275 | 340 |
| Томатная паста | 240 | 300 |
| Творог | 200 | 250 |
| Майонез | 200 | 250 |
| Сметана | 210 | 265 |
А я 1918 году на полотне «Утренний натюрморт» Кузьмы Петрова-Водкина красовался 12-гранный стакан с чаем. Хотя граней у него могло быть разное количество, от 12 до 20. Изобретение верхнего округлого ободка приписывают известному скульптору СССР Вере Мухиной (она же изобрела пивную кружку).
Считается, что емкость такой формы было удобнее мыть в советских посудомоечных машинах. Массовое производство стаканов началось 11 сентября 1943 года на стекольном заводе в Гусь-Хрустальном.
Опытные домохозяйки редко используют в привычных блюдах мерки или кухонные веса, так как привыкли все делать на глаз. Точные пропорции соблюдаются лишь в новых рецептах, к которому еще не привык глазомер. В таком случае используются специальные мерки или обычные емкости, которые есть на каждой кухне. Но существует нюанс в том, что разные вещества в одинаковом стакане будут иметь неодинаковую емкость. Сколько и чего получается в граммах при замерах одинаковыми емкостями, можно узнать точно с помощью таблицы, но она не всегда есть под рукой.
Все зависит от размера составляющих. Так давайте же выясним, какое количество муки в одном граненом стакане. Ведь именно ее пропорции очень важны в приготовлении многих блюд.
Подручные мерки
Мера стаканами используется еще с давних времен, и размер этой емкости кардинально не менялся.
Но сколько именно в стакане содержимого зависит непосредственно от структуры наполнителя и вида стакана.
Емкость в стакане зависит от вида:
- тонкостенный – 250 см 3 ;
- граненый – 200 см 3 .
Естественно предположить, что в тонкостенную емкость помещается больше продукта, чем в граненую, так как у них разница в 50 см 3 . Тонкостенный стакан обладает идеально гладким контуром края, а граненый закругленный ободок – с количеством граней от 6 до 14. В целом стаканы используются не только для мерок, а и как резцы круглых форм, во время приготовления печенья, пельменей или т. п.
У любой хорошей хозяйки на кухне обязательно должен быть граненый и тонкостенный стакан именно для этих мероприятий.
Измерение содержимого
Сколько в стакане жидкости определить легко, так как ее объем равен стандартной мере емкости 200 или 250 см 3 . Независимо от плотности жидкого вещества, размер будет одинаковым.
Сыпучие вещества при замерах одинаковыми емкостями обладают разным весом.
И данный факт весьма осложняет процесс измерения.
Сколько в стакане муки или другого сыпучего продукта в 1 стакане: таблица
| Другие продукты | Тонкостенный стакан, г | Граненый стакан, г |
| толченые орехи | 130 | 140 |
| цельный миндаль | 130 | 160 |
| фундук | 130 | 160 |
| мед | 265 | 325 |
| сметана | 210 | 250 |
| томатная паста | 250 | 300 |
| молотые сухари | 100 | 125 |
Скрупулезная точность не всегда уместна, особенно в приготовлении супов, но практически все блюда с использованием муки в ней нуждаются. Сколько пшеничной муки в тонкостенном или граненом стакане, уже известно – 140 и 175 граммов соответственно. Именно точная пропорция муки с другими жидкостями является основой правильно приготовленной выпечки.
При выпечке хлеба это обернется замедленным брожением, а при замешивании пирожков тесто будет рваться, а не раскачиваться.
Как правильно отмерить муку
Для определения количества муки существует масса различных способов. Сколько пшеничной муки в стакане известно, а что если требуется меньшее количество? Некоторое количество рецептов выпечки нуждаются в малом количестве муки, и то, сколько именно ее требуется, не всегда можно измерить в стакане.
Особенно сложно приходится начинающим кулинарам, у которых глазомер еще не столь умел, как у опытных поваров и домохозяек. Помимо стаканов, количество муки можно отмерить ложкой – столовой или чайной.
Расчет муки малыми мерками банален, как первый раздел арифметики. Достаточно знать объем мерной емкости. Конечно, ложкой отмерять муку дольше, но вы будет знать, сколько ее получится в итоге более точно. К тому же существуют небольшие сита для муки, в которые удобнее насыпать продукт именно ложкой.
Сколько же в ложке муки
Глубокая стандартная столовая ложка вмещает в себя 20 граммов муки.
С большой горкой получится от 25 до 45 граммов продукта.
Чайной ложкой отмеряют муку только в том случае, когда она нужна для приготовления одной порции маски для лица. Сколько ее нужно в овсяную или картофельную маску, указывается в рецептуре, и дозы там обычно совсем маленькие.
У владельцев мультиварок или хлебопечек обязательно должна быть мерная емкость, которая идет в стандартной комплектации с этими видами кухонной техники. Как правило, они совсем небольшие и, как следствие, малоемкие. К мультиварке идет в комплекте 100-граммовый мерный стакан. Но стоит учитывать, что в 100 мл емкость помещается 64 грамма муки.
В кулинарии используются несколько видов муки:
- первосортная мука измеряется по указанным выше параметрам;
- второсортная пшеничная мука, обычно используемая для выпечки домашнего хлеба, имеет практически идентичный вес первосортной. Потому измерить ее можно теми же методами.
- ржаная мука имеет грубый помол, потому и весит больше.
Столовая ложка без горки содержит 25 граммов этого продукта. С горкой – до 65 граммов.
Некоторые домохозяйки измеряют на глаз муку, разделив килограммовую упаковку на части. Таким образом, вес получается примерным, и точность рецептуры не соблюдается. Мука обладает такой структурой, что лучше ее добавить меньше, если совсем нет точных мерок, чем переборщить. Постепенно навык укрепится, и с опытом молодой кулинар обретет соответствующую сноровку. Главное, чтобы было желание.
Сколько грамм муки в стакане и других приборах: точный вес
18 февраля 2017 8916
Кулинария – это искусство приготовления пищи, требующее ювелирной точности в пропорциях ингредиентов. От того, насколько точно в соответствии с рецептом взяты продукты, необходимые для того или иного блюда, зависит конечный результат. Справиться с этой задачей довольно легко, используя кухонные весы.
Но что делать, если их нет под рукой? На кухнях наших бабушек и мам весов не было, тем не менее, они умели готовить вкусные блюда и печь ароматные пироги.
Для них единицами измерения выступали стакан, столовая и чайная ложки.
Ответ на вопрос, сколько весит мука, помещающаяся в этих подручных измерителях, поможет отмерить ее необходимую массу без весов для нового рецепта пиццы или торта, а так же перевести в граммы количество теста на кулебяку по рецепту из маминой кулинарной тетради.
Сколько грамм муки в стакане: граненом и других видах
Чаще всего сыпучие продукты, вес которых больше 100 г, в рецептах отмеряют стаканами. И предполагается для этих целей использование известного творения скульптора Веры Мухиной – граненого. Его еще называют «сталинским» или «советским».
Они бывают двух видов: с ободком по верху, в которые в поезде проводницы наливали чай, поэтому их еще называют чайными и без ободка. Кроме наличия ободка эти сосуды еще отличаются своим объемов. Объем чайного равен 250 мл, а обычного граненого – 200 мл.
В сосуде объемом 200 мл помещается 130 г муки, а в чайном, вмещающем 250 мл жидкости – 160 г.
Но если на кухне не нашлось такой посуды, для измерений можно использовать любую другую или даже чайную чашку. Например, есть чашка объемом 300 мл. Путем несложных математических расчетов, используя известные пропорции объема граненого сосуда (250 мл) и вес муки (160 г), помещающийся в нем, можно рассчитать массу продукта, которую можно ним отмерить: 300*160/250=190 г.
Этот способ расчета можно применить к любой чашке или другой посудины, имеющихся под рукой, если точно известен их объем.
Рецепт борща со свеклой — научитесь варить настоящее украинское национальное блюдо.Если в холодильнике осталась простокваша, самое время приготовить вкусные блины — рецепт с фото здесь.
Невероятно вкусный рецепт тонкого теста для пиццы с разнообразными начинками.
Сколько грамм муки в чайной и столовой ложках
Еще одно мерило, которое часто используется в рецептах для измерения массы – это столовая и чайная ложки.
Перед тем как мерить ими продукты, нужно отметить, что объем столовой равен 18 мл, а чайной – 5 мл.
Так же важно помнить, что мелкий порошкообразный продукт не будет осыпаться с этого столового прибора, как, например, сахар, а будет образовывать холмик, высота которого может достигать 5-6 см. Поэтому в зависимости от наличия такого холмика в столовую ложку может вмещаться разное количество мучицы:
- без холмика этот вес составит 20 г;
- ложка с маленьким холмиком в 2-3 см похожим на тот, который образует сахар на ложке – 25 г;
- с холмиком большего размера – 30 г.
В чайную ложку с холмиком поместится 10 г муки, но в зависимости от величины возвышения масса может колебаться от 9 до 12 г.
Обратный путь
Зная вес, который занимают объем граненого стакана, столовой и чайной ложки, можно решить и обратную задачу, как перевести массу в граммах в стаканы. Зная, что граненым можно отмерить 130 г зернопродукта, получается подсчитать:
- 200 г – это около 1,5 стакана;
- 250 г – это 2 стакана без 1 ч. л.;
- 300 г – это 2 стакана и 2 стол.
л. без горки; - 400 г – это 3 стакана и 1 ч. Л.;
- 500 г – это 4 стакана без 1 стол. л. без горки.
Рассчитываем вес, в зависимости от сорта и вида муки
Для выпечки часто используются разные виды и сорта муки. Из-за того что у них разная плотность, количество продукта, которое помещается в один и тот же сосуд, имеет разный вес.
Так, 200 мл пшеничной муки высшего сорта буде весить 130 г, а такой же сосуд с зернопродуктом первого сорта – 140 г, то есть чем ниже качество, тем тяжелее вес.
Кроме пшеничной муки в кулинарии используются еще ржаная, кукурузная, картофельная и крупчатая. В граненом сосуде 200 мл помещается следующая масса каждой из них:
- ржаной – 105 г;
- кукурузной – 130 г;
- картофельной – 150 г;
- крупчатой – 140 г.
Как правильно взвешивать муку: тонкости
Взвешивание сыпучих веществ с использованием мерил объема сопряжено с определенными погрешностями.
Стандартно эта разница составляет около 10 г, но игнорирование определенных правил может значительно увеличить погрешность.
Чтобы этого не случилось нужно:
- Перед тем как отмерить необходимое количество граммов муки, ее нужно обязательно просеять, поскольку слежавшийся и просеянный продукт равного веса будут занимать разный объем;
- В сосуд муку нужно насыпать небольшими порциями и ни в коем случае не зачерпывать. Это поможет избежать образования пустот воздуха у стенок и получить более точный результат;
- Ее, как и любое другое вещество, нельзя утрамбовывать. Это может значительно изменить показания;
- Сыпучие вещества в стакан насыпаются с горкой, но ее потом нужно аккуратно как бы срезать ножом;
- Для измерений лучше всегда пользоваться одной и той же посудой. Это позволит даже без весов отмерять одинаковое количество муки и не испортить выпечку.
Не имея кухонных весов и мерного стакана со шкалой веса разных веществ, можно тоже отмерить необходимое количество продукта, используя подручные емкости.
Конечно, погрешность, которая будет присутствовать при этом, будет более значительной. Критичной ее можно назвать только для молекулярной кухни, где мерой являются нано частицы, поэтому даже новый рецепт пирога можно опробовать, отмеряя ингредиенты стаканом или ложками.
Оценить статью:
2
Вконтакте
Одноклассники
Google+
Что еще почитать:
Сколько грамм муки в стакане на 200 миллилитров?
В одном стакане 130 грамм муки. Если 130 грамм умножить на 4 стакана, то получится 520 грамм муки, нам еще нужно добавить 80 грамм — это будет чуть больше пол стакана.
Значит 600 грамм муки -это 4 стакана и еще чуть больше, чем пол стакана
Очень простой пирог, состоящий из 7 ингредиентов, которых брали примерно по стакану, а именно: пачка маргарина (1-й стакан), стакан крахмала (2-й стакан), банка сгущенки (3-й стакан), стакан яичного порошка (4-й стакан), стакан сахара (5-й стакан), стакан муки (6-й стакан) и стакан воды, итого 7 стаканов, плюс добавляете соду, я бы еще немного соли добавила. Все тщательно перемешиваете, ставите в духовку и печете до румяной корочки, и главное до готовности.
Есть еще один вариант: стакан муки, стакан сахара, стакан крахмала, стакан сухих сливок или молока, стакан сметаны, стакан растопленного сливочного масла и стакан яиц.
Все перемешиваете добавляете разрыхлитель, вновь перемешиваете, выкладываете в форму и печете. Получается практически бисквит. Из банки сгущенки можно сделать крем, тогда у Вас получится торт.
Если взять граненый стакан (его объем составляет 200 см.куб.),то в него вмещается-130 грамм пшеничной муки.
Чтобы отмерить 100 грамм-насыпаем целый стакан(130 грамм)и убираем из него столовую ложку муки,в столовой ложке содержится ровно 30 грамм пшеничной муки.
Чтобы отмерить 200 грамм-насыпаем два целых стакана и убираем две столовые ложки.
Чтобы отмерит 300 грамм— насыпаем три целых стакана минус три столовые ложки муки.
500 грамм— это будет четыре полных стакана (520 грамм)-убираем из них 2 чайные ложки муки, в чайную ложку вмещается 10 грамм муки;
Если стакан объёмом 250 см.куб.-то в него вмещается-160 грамм пшеничной муки-исходя из этого и производим вычисление.
Чтобы найти ответ на вопрос, проще идти от обратного, взвесить муку, которая вместилось в один стакан, 250-ти граммовый.
После взвешивания получаем искомый результат. В стакан, без трамбовки, уплотнения, входит 150 грамм муки, пшеничной, высшего сорта, не просеянной перед взвешиванием. Если перед взвешиванием муку просеим, вес будет чуть меньше.
В результате получаем следующий результат:
110 грамм муки, это до ободка стакана.
130 грамм муки, это 3/4 стакана.
290 грамм муки, это почти два стакана.
310 грамм муки, это два полных стакана.
950 грамм муки, это шесть стаканов полных и ещё одна треть стакана.
Если взять универсальный стакан объемом 250 мл, то пропорции получатся такие:
1/5 стакана — это выходит 32 грамма муки (приблизительно одна большая ложка),и
2/5 стакана — это выходит в два раза больше — 64 грамма муки (приблизительно две большие ложки),
1/2 стакана — это выходит 80 граммов муки,
1/4 стакана это выходит 40 грамм муки,
1/3 стакана — это выходит 53 грамма муки.
На картинке показано приблизительно, где находятся перечисленные выше отметки.
Таблица объёмов и весов
Универсальная таблица объёов1 стакан — 240 мл. — 16 ст.л. — 8 (fluid ounce (fl. oz
3/4 стакана — 180 мл. — 12 ст.л.
2/3 стакана — 160 мл. —
1/2 стакана — 120 мл. — 8 т.л. — 4 (fluid ounce (fl. oz
1/3 стакана — 80 мл. — 5 ст.л. +1 ч.л.
1/4 стакана — 60 мл. — 4 ст.л. -2 (fluid ounce (fl. oz
1 ст.л. 15 мл. —
1 ч.л. — 5 мл.
480 мл. — 2 стакана-1 pint
960 мл — 4 стакана -1 quart
1 ст.л.-3 ч.л.
1 стакан-16 ст.л.
1 литр-4 стакана +2 ст.л.
Соотношение-вес/объём различных продуктов.
Масло.
1 стакан растительного масла-200 гр.
1 стакан сливочного масла -240 гр.
1 с.л. сл.масла-15 гр.
Крошки
1 стакан крошек торта-110 гр.
1 стакан сухих хлебных крошек-125 гр.
Сухофрукты
1 стакан сухофруктов-измельчённых-150 гр.
Мука,какао,крахмал.
1 стакан обычной или самовосходящей муки -140 гр.
1 ст.л. -10 гр.
1 ч.л. 3 гр.
1 стакан цельнозерновой муки-125 гр.
Сахар белый. Сахар коричневый
1 стаrан -200 гр 1 стаrан -240 гр.
1 ст.л.12 гр. 1 ст.л.- 15 гр.
1 ч.л. 4 гр. 1 ч.л. — 5 гр.
Сахарная пудра.
1 стакан- 120 гр.
1 ст.л.8 гр.
1 ч.л. приб.3 гр.
Мёд,кукурузный сироп,мулиса.
1 стакан-320 гр.
1 ст.л.-20 гр.
1 ч.л. 7 гр.
Варенье
1 стакан-330 гр.
Яйца.
Большое яйцо №1- 65 гр.и больше
Среднее яйцо №2 -60 гр
маленькое яйцо №3-50 гр.
Соотношение свежих дрожжей к сухим.
Cоотношение приблизительно 1:3
50 гр. всежих дрожжей-16-17 гр.(2 ст.л.без верха) сухих дрожжей .
Разное
1 стакан миндаля/орехов измельч. в муку-85 гр.
1 стакан орехов/миндаля измельчённых в крошку-100 гр.
1 ст.л. орехов/миндаля -крошка-6 гр.
1 стакан кокосовой стружки-00 гр.
1 стакан шоколадных чипсов-200 гр.
1 стакан овсянки-100 гр.
1 стакан удлинённого риса -200 гр.
1 стакан круглого риса -210 гр.
1 ст.л. сухих дрожжей-10 гр.
1 стакан соли 200 гр.
1 ст.л. соли-20 гр.
Желатин.
1 упаковка-14 гр.
1 ст.л. — 10 гр.
1 лист желатина-4 гр.
14 гр. желатина-3 1/2 листа.
Разрыхлитель,сода.
1 упаковка -10 гр-прибл.1 ст.л. 1 ст.л.- 9 гр.
1 ст.л. без верха 8-9 гр.
1 ч.л. -3 гр.
Самовосходящая мука домашнего изготовления.
1 стакан самовосходящей муки- 1 стакан простой муки+ 1 ч.л. разрызлителя.
1 кг самовосходящей муки- 1 кг простой муки + 2 упаковки(20 гр) разрыхлителя.
Таблица перевода в % небходимого кол-ва продуктов при изменении диаметра притивня.
Увеличение.
с Диаметра 22 см- 24 см -20%
22 см -26 см -40%
22 см -28 см -60%
Уменьшение
с диаметра 26 см -24 см -15%
26см -22 см -30%
28 си -22 см -40%
Таблица температур для различного вида теста.
Тесто Мес. в дух. Темп. Цельс. Форенг. Время вып
дрожж. Нижн.треть Средн. 177 350 30-40м
кексы Нижн.треть средн. 177 350 50-60м
бискв. Нижн.треть средн. 177 350 50-60м
песоч. Центр.часть высок. 220 430 10-20м
слоён. Центр.часть оч.выс. 240 475 20-30м
Заварн. Центр.часть высок. 220 430 25-35м
Пряники Центр.часть ср/выс 190 400 15-30м
рулеты Центр.часть высок. 220 430 7-10м
Печ.бизе центр.часть низкая 140 275 1-2час
Как отмерить 260 грамм муки без весов. Сколько весит стакан молока и молочных продуктов. Как можно отмерить нужное количество муки
Мерные стаканы и кухонные весы уже давно перешли в категорию «must have» на кухне каждой хозяйки, но при этом большинство пользуется старым бабушкиным способом измерения массы продуктов: стаканы и ложки. Это связано с тем, что семейные рецепты, доставшиеся в наследство, в большинстве своем записаны не в граммах, а в количестве ложек и стаканов.
Поскольку со стаканами все в большей степени понятно, их объем составляет 200 и 250 мл для граненого и тонкостенного, то вот когда говорят о столовой и чайной ложках, имеют в виду, что в них помещается 15 и 5 мл жидкости соответственно.
Не имея под рукой настоящего граненого (тонкостенного) стакана, можно воспользоваться любой другой чашкой или кружкой, равной по объему. Проверить количество миллилитров жидкости, которое поместится в мерной чашке (кружке) можно с помощью мерной мензурки.
Сводные таблицы, в которых указаны меры веса в ложках и стаканах, помогут отвесить необходимый объем продуктов для нового блюда или перевести в граммы рецепт из маминой кулинарной тетради, если хозяйке привычнее пользоваться весами.
Различные виды муки впитывают в себя разное количество жидкости, поэтому у каждой из них своя плотность, следовательно, и масса на одну и ту же единицу объема. Чтобы правильно отмерить необходимое количество этого продукта нужно делать это, соблюдая определенные правила:
- Перед измерением продукт обязательно следует несколько раз просеять через сито, это позволит разбить комки залежавшегося зернопродукта, чтобы искусственно не увеличить вес в мерной емкости;
- Никогда не стоит набирать муку для измерения массы в стакан погружением. Это способствует появлению пустот у стенок и уменьшает вес;
- Никогда не стоит утрамбовывать муку в стакане. Так можно увеличить ее вес в тонкостенном 250 мл стакане до 210 граммов вместо 160.
Отмеряя крупы стаканами и ложками, в стакан насыпают их «под нож», когда с наполненного доверху стакана ножом убирают горку, а вот в ложках небольшая горка должна остаться. Эти продукты также нельзя утрамбовывать, как и муку.
Отмеряя орехи, следует помнить, что рубленые ядра (не толченые) боле плотно распределяться в стакане, поэтому и его вес будет больше. В таком случае в рецептах, где требуется определенное количество граммов, например, рубленного арахиса, лучше отмерить цельные орехи, а потом их порубить.
Жидкие молочные продукты в стаканы нужно наливать, а вот вязкие густые – накладывать столовой ложкой, следя, чтобы у стенок не образовывались пустоты. Для отмеривания веса ложками творог, густую сметану и прочее набирают с небольшой горкой.
Часто для выпечки хозяйки в тесто используют кисломолочные продукты (сметану, кефир, йогурт или ряженку) которые уже начали бродить, в этом случае стоит помнить, что удельный вес таких продуктов, будет ниже.
Твердые (животного происхождения) масла, чтобы измерить стаканами, нужно обязательно растопить до жидкого состояния, а вот ложками отмеряют чаще мягкое, но не жидкое масло.
Продукты из этой категории наиболее часто отмеряются при помощи ложек, но поскольку в кулинарных рецептах их количество бывает настолько мало, что применяются и другие мерила – щепотка и «на кончике ножа». Сколько в граммах установить доподлинно не удастся, но однозначно можно сказать, что это количество сыпучего вещества, которое помещается межу большим, средним и указательным пальцами, собранными в щепоть.
Масса тех или иных ягод в мерной посудине будет зависеть от их размера (мелкие более плотно улягутся и будут весить больше) и того, как давно они были собраны. Например, собранная в стакан свежая малина на следующий день немного осядет и при первоначальном весе будет занимать меньший объем.
Напоследок стоит отметить, что погрешность такого способа измерения веса составляет от 4 до 6%. На нее в первую очередь влияет содержание паров воды в воздухе, поскольку не только сахар, соль и мука, но и другие продукты при повышении уровня влажности на одну и ту же единицу измерения объема (стакан, ложка) имеют больший вес, чем при нормальных условиях.
Как отмерить муку? Удобнее всего для этих целей воспользоваться обыкновенными весами или мерным стаканом. Но что же делать, если их нет? В этой ситуации можно определить требуемый вес муки посредством граненого стакана или столовой ложки. Опытные хозяйки знают, что этот метод не менее надежен, чем взвешивание весами.
Как пользоваться стаканом?
Как для измерения веса муки пользоваться стаканом? Это очень легко. Исходить будем из того, что в граненый стакан с ободком входит 250 миллилитров жидкости, а в емкость без ободка – 200 миллилитров. Отмерять будем на примере пшеничной муки высшего сорта. Причем она должна быть непросеянной.
Итак, в граненый стакан с ободком помещается приблизительно 160 граммов непросеянной муки. Емкость без ободка способна вместить 130 граммов сухого ингредиента (если точнее, то 128 граммов), если насыпать без горки. Это же количество (130 граммов) пшеничной муки будет в емкости с ободком, если всыпать сухой ингредиент по ободок. Такой метод измерения удобен в тех случаях, когда нужно много пшеничной муки, что актуально для рецептов выпечки булочек или пирогов.
Причем учитывайте, что насыпать муку в стакан нужно так:
Отмерять нужно муку, которая не была просеяна. Если просеять сухой ингредиент, а затем вернуть в граненый стакан, то он не поместится.
Если нет граненого стакана, не беда. Наверняка дома найдется чашка для чая. Расчет нужного объема производится арифметическим путем по формуле: (А (объем чашки в миллилитрах) * 160 (вес муки в граненом стакане с ободком в граммах)) / 250 (объем граненого стакана в миллилитрах) = В (вес муки в чашке в граммах). Расчет предельно прост. Итак, допустим емкость для чая вмещает 180 миллилитров жидкости. Тогда считать нужно так: 180 * 160 / 250 = 115,2. Соответственно, в чашку объемом 180 миллилитров поместится 115,2 грамма пшеничной муки.
За основу при расчете по формуле можно брать граненый стакан без ободка или другую емкость. Но учитывайте, что в этом случае придется поменять и объем в миллилитрах. Кстати, сахар измеряется так же, как и пшеничная мука.
Как отмерить муку ложкой в домашних условиях?
Отмеривание муки в домашних условиях при помощи ложки – метод более долгий по сравнению с отмериванием с помощью граненого стакана, но не менее надежный. Итак, в неглубокой ложке столового типа, которая считается обыкновенной, помещается около 20 граммов муки, если насыпать без горки. Если же пшеничную муку зачерпнуть с горкой, то в указанном столовом приборе может поместиться от 25 до 40 граммов.
В чайной ложке (при насыпании без горки) будет приблизительно 10 граммов муки. Придерживаться такого метода удобно только в том случае, когда сухой ингредиент необходим в небольшом количестве, например, для создания маски для лица.
Вес ржаной муки грубого помола несколько отличается в большую сторону. В столовой ложке без горки содержится около 25 граммов сухого ингредиента.
Типичной ошибкой многих хозяек при отмеривании муки без весов становится то, что все помнят об объеме стакана 200 миллилитров, перенося это значение и на вес сухого ингредиента. Это ошибочное мнение.
В отмеривании муки без весов никаких сложностей нет. Просто придерживайтесь рекомендаций, которые описаны в статье, – и все получится. Пользуясь приведенной выше формулой, можно отмерить любое количество муки, зная объем и вес используемой для замеров емкости – литровой или полулитровой банки, мерного стаканчика.
Сложно представить рецепт выпечки без муки, которая часто является основным ингредиентом. Рассмотрим, как можно быстро измерять нужный вес муки ложками, узнаем сколько весит столовая и чайная ложка муки в граммах и как отмерить муку без весов.
При измерении массы в ложках использовалась обычная пшеничная мука, при этом когда в ложку она набиралась с горкой, та была большая основательная, если без горки, имеется ввиду небольшой холмик, практические не заметный.
Важно: в большинстве популярных рецептах (выпечки, приготовления теста, кляра и т.д.) если указывается, сколько использовать ложек муки, имеется ввиду ложек с горкой, независимо столовых или чайных.
Сколько муки в столовой ложке в граммах?
В 1 столовой ложке муки с горкой 30 грамм.
Одна столовая ложка муки без горки весит около 15 грамм.
Сколько муки в десертной ложке?
В одну десертную ложку вмещается 20 грамм муки с большой горкой и 10 грамм муки без горки.
Сколько вмещается муки в чайную ложку?
В 1 чайной ложке с горкой вмещается 10 муки грамм.
В чайной ложке без горки 5 грамм муки.
Ответы на популярные вопросы, как отмерить определенную массу муки ложкой (в граммах)
Для того, чтобы Вам не пришлось долго сидеть и высчитывать, или взвешивать на весах точную массу необходимой в рецепте муки, предлагаем Вам найти подходящее значение в представленном ниже списке (таблице), где уже проведены расчеты, сколько необходимо столовых и чайных ложек, чтобы отмерить массу муки:
- 600 грамм муки – это сколько столовых ложек? 600 г муки = 20 столовых ложек муки с большой горкой.
- 500 грамм муки – это сколько столовых ложек? 500 г муки = 16 столовых ложек с горкой + 2 чайных ложки муки с горкой (или 1 десертная ложка с горкой).
- 450 грамм муки – это сколько столовых ложек? 450 г муки = 15 столовых ложек пшеничной муки с горкой.
- 400 грамм муки – это сколько столовых ложек? 400 г муки = 13 столовых ложек с горкой + 1 чайная ложка муки с горкой.
- 350 грамм муки – это сколько столовых ложек? 350 г муки = 11 столовых ложек муки с горкой + 2 чайных с горкой.
- 300 грамм муки – это сколько столовых ложек? 300 г муки = 10 столовых ложек муки с горкой.
- 280 грамм муки – это сколько столовых ложек? 280 г муки = 9 столовых ложек муки пшеничной с горкой + 1 чайная ложка с горкой.
- 260 грамм муки – это сколько столовых ложек? 260 г муки = 8 столовых ложек с горкой + 2 чайных с горкой.
- 250 грамм муки – это сколько столовых ложек? 250 г муки = 8 столовых ложек с горкой + 1 чайная с горкой.
- 220 грамм муки в столовых ложках – это сколько? 220 г муки = 7 столовых ложек с горкой + 1 чайная ложка муки с горкой.
- 200 грамм муки – это сколько столовых ложек? 200 г муки = 6 столовых ложек муки с горкой + 2 чайных с горкой.
- Как отмерить 180 грамм муки? 180 г муки = 6 столовых ложек муки с большой горкой.
- 175 грамм муки – это сколько столовых ложек? 175 г муки = 5 столовых ложек с горкой + 1 столовая ложка муки без горки + 2 чайных ложки с горкой.
- 160 грамм муки – это сколько столовых ложек? 160 г муки = 5 столовых ложек с горкой + 1 чайная ложка с горкой.
- 150 грамм муки – это сколько столовых ложек? 150 г муки = 5 ложек столовых муки с горкой.
- 140 грамм муки – это сколько столовых ложек? 140 г муки = 4 столовых ложки с горкой + 2 чайных с горкой.
- 130 грамм муки – это сколько столовых ложек? 130 г муки = 4 столовых ложки с горкой + 1 чайная ложка с горкой.
- 125 грамм муки в столовых ложках – это сколько? 125 г муки = 4 столовых ложки муки с горкой + 1 чайная ложка муки без горки.
- 120 грамм муки – это сколько столовых ложек? 120 г муки = 4 столовых ложки муки с горкой.
- 115 грамм муки – это сколько ложек? 115 г муки = 3 столовых ложки муки с горкой + 1 столовая ложка без горки + 1 чайная ложка с горкой.
- 110 грамм муки – это сколько столовых ложек? 110 г муки = 3 столовых ложки муки с горкой + 2 чайный ложки с горкой.
- 100 грамм муки – это сколько столовых ложек? 100 г муки = 3 столовых ложки муки с горкой + 1 чайная ложка с горкой.
- 90 грамм муки – это сколько столовых ложек? 90 г муки = 3 столовых ложки муки с горкой.
- 80 грамм муки – это сколько столовых ложек? 80 г муки = 2 столовых ложки муки с горкой + 2 чайных ложки с горкой.
- 70 грамм муки – это сколько ложек? 70 г муки = 2 столовых ложки муки пшеничной с горкой + 1 чайная ложка с горкой.
- 60 грамм муки – это сколько столовых ложек? 60 г муки = 2 столовых ложки с горкой.
- 55 грамм муки – это сколько столовых ложек? 55 г муки = 1 столовая ложка муки с горкой + 1 столовая ложка без горки + 1 чайная с горкой.
- 50 грамм муки – это сколько столовых ложек? 50 г муки = 1 столовая ложка с горкой + 2 чайных ложки муки с горкой.
- 45 грамм муки – это сколько столовых ложек? 45 г муки = 1 столовая ложка с горкой + 1 столовая ложка муки без горки.
- Как отмерить 40 грамм муки без весов? 40 г муки = 1 столовая ложка муки с горкой + 1 чайная ложка муки с горкой.
- 30 грамм муки – это сколько столовых ложек? 30 г муки = 1 столовая ложка муки с горкой.
- 20 грамм муки – это сколько столовых ложек? 20 г муки = 1 десертная ложка муки с горкой = 2 чайных ложки муки с горкой = 1 столовая ложка с небольшим холмиком.
Вам будет интересно:
Не у каждой хозяйки имеются на кухне весы, и многие привыкли справляться и так, отмеряя продукты «на глаз» Но случается, что нужно приготовить что-то по новому рецепту, где все пропорции должны быть соблюдены строго. Как измерить граммы без весов? Конечно, есть множество способов, и мера будет практически верной, но все равно с небольшими отклонениями. В данной статье поговорим о том, как измерить граммы без весов сухих продуктов.
Таблица веса
Такую подсказку можно встретить в поваренной книге или же воспользоваться той, что дана в статье. Пользоваться таблицей очень удобно, так как в ней записан вес продуктов в граммах при наполнении какой-либо посуды. Например, в одной чайной ложке помещается 5-7 грамм сахара, в столовой — 25, а в обычном граненом стакане — 200 грамм, если заполнить его до самого верха.
Замер рукой
Известен хороший народный метод, который поможет решить задачу о том, как измерить граммы без весов. Данный способ будет удобен тем, кто не хочет изнурять себя математическими расчетами. Минус метода — только приблизительный итог.
- Если нужно отмерить кусок рыбы или мяса в 100 грамм, то посмотрите на ладонь женщины — и размер, и толщина будет соответствовать 100 граммам. Если брать за пример мужскую руку, то прибавляем 50 грамм.
- Если нужно отмерить порцию крупы, то 200 грамм будет равняться размеру женского кулака и примерно 250-280 — размеру мужского.
Объем посуды
В хозяйственном магазине можно приобрести специальные емкости из прозрачного пластика или стекла, на стенках которых будут прописаны меры веса в граммах жидких и сыпучих продуктов.
Если таковой посуды нет, просто воспользуйтесь любой чашкой, объем которой вам точно известен. Например, у вас миска объемом в 100 грамм, а вам нужно отмерить 50 грамм. Тогда просто наполните эту миску наполовину и получите необходимое количество продукта.
Тетрадный лист в клетку
Посуда и руки — это, конечно, хорошо, но что делать, если нужно отмерить, например, марганец? Брать порошок «на глаз» совершенно неприемлемо, и тогда возникает резонный вопрос: «Как измерить 1 грамм без весов?»
Предлагаем воспользоваться методом старинным, он выручил уже огромное число хозяек.
- Насыпьте порошок в чайную ложку без верха, это будет 5 грамм.
- Высыпьте порошок на тетрадный лист в клетку, распределите его по клеткам ровной полосой так, чтобы она заняла 10 клеток.
- Две клетки — это и будет грамм.
Если баночка с порошком еще не открыта, то можно воспользоваться более простым способом — посмотреть вес нетто на упаковке. Если там значится 10 грамм, то высыпайте на лист так, чтобы полоска заняла 20 клеток, и 2 из них будут равняться 1 грамму.
Как измерить дрожжи в граммах без весов? Воспользуйтесь этим же методом. Если нужно взять 5 грамм этого продукта, то смело берите 1 чайную ложку без горки.
Для измерения муки такой способ не работает, так как она более плотная и весить будет больше. Предлагаем рассмотреть варианты того, как измерить муку в граммах без весов.
Чайная и столовая ложка для муки
Когда нет весов, то поможет отмерить небольшое количество муки обычная ложка. Продукт должен быть не просеянным, измеряйте сразу из упаковки.
- Загребите чайной ложкой муку, слегка потрясите из стороны в сторону, но так, чтобы горка не упала, просто нужно стрясти лишнее. Все, что осталось — это 10 грамм. То есть, если вам нужно взять 50 грамм муки, то кладите 5 ложек с горкой.
- Проще воспользоваться стандартной столовой ложкой. Нагребите муку с горкой, слегка потрясите, все, что осталось — 25 грамм. Если нужно 50 грамм, то кладите две.
Из этого же расчета становится понятно, как измерить 100 грамм без весов, если речь идет о муке.
Стакан для замера муки
Если у вас на кухне имеется обычный граненый стакан, то он станет настоящим помощником при замере продуктов. Объем его составляет 250 мл до ободка, и это подходит для замера жидкости. Что касается муки, то нам нужно отмерить граммы, а делается это следующим способом:
- Аккуратно при помощи ложки заполните стакан до ободка. Муку при этом не нужно трясти и приминать, вес значительно увеличится. Распределите продукт ровно по ободку, и у вас получится почти ровно 160 грамм.
- Если заполнить стакан до самых краев, то будет 180 грамм.
- В случае, когда есть стакан только 200 мл объемом, то вес составит 130 грамм при заполнении до ободка.
Именно так отмеряется мука стаканами. Многие совершают ошибку, считая, что стакан объемом 200 мл вмещает 200 грамм муки, и кладут столько при приготовлении блюда. Граммы и миллилитры — разные вещи. Миллилитры используются для измерения жидкости, которая плотнее, чем сыпучие продукты.
Две кастрюли для замера сыпучего продукта
Как измерить граммы без весов, если нет времени и желания пользоваться ложками и стаканами, а продукта нужно килограмм, два или еще больше? Помогут две кастрюли, этим способом пользовались еще наши бабушки! Отмерять таким способом вес продукта очень просто, главное — иметь в наличии:
- большую кастрюлю;
- маленькую кастрюлю, которая полностью поместится в большую;
- груз — гирю весом в килограмм или не распечатанную упаковку с мукой или крупой.
Итак, если нужно замерить точный вес продукта, действовать будет следующим способом:
- Поместите в малую кастрюльку груз, вес которого вам точно известен — килограмм, 600 грамм и так далее.
- Поставьте кастрюльку с грузом в большую кастрюлю или в таз.
- Заполните большую емкость водой до уровня, если таковой есть, или до краев.
- Достаньте груз из кастрюли, воды станет меньше.
- Теперь можете наполнять маленькую емкость продуктом, который нужно отмерить. Как только вода в большой кастрюле поднимется до прежнего уровня, в маленькой кастрюльке будет такой же вес продукта, как и груза.
Совершенно несложно! На первый взгляд кажется, что процесс долгий, но это не так, и вы убедитесь в простоте метода, как только попробуете произвести замер самостоятельно.
Сколько крупы в стакане или ложке?
Все сыпучие продукты имеют разную плотность. Так, мера стакана или ложки будет разной для разных круп. Предлагаем рассмотреть в граммах самых часто используемых на кухне продуктов.
- Гречка: если замерять порцию стаканом, то сырой крупы в граненом (объем 250 мл) при наполнении до ободка будет 200-210 грамм. В столовой ложке будет 25 грамм.
- Манная крупа: в граненый стакан до ободка поместится 200 грамм, в столовую ложку — 25 грамм, а в чайную — 8 грамм.
- Овсянка: это легкий продукт, и при наполнении стакана граненого до ободка ее получится всего 90 грамм. В одну столовую ложку поместится примерно 12 грамм.
- Перловка: более тяжелый продукт, в граненый стакан до ободка войдет 230 грамм, а в столовой ложке будет около 25-30 грамм.
- Ячневая крупа: в граненом стакане поместится 180 грамм, а в столовой ложке — 20 грамм.
- Пшено: в стакане будет 180 грамм, в столовой ложке — 20 грамм.
- Рис: в стакане до ободка — 230 грамм, в столовой ложке — 25 грамм.
- Фасоль: в стакане получится 230 грамм, ложками замерять не станем, так как продукт крупный.
- Лущеный горох: в стакан поместится 230 грамм.
Теперь вы знаете, как измерить граммы без весов на кухне. Методов множество, и все они дают максимально точные результаты!
Вымерять муку с точностью до грамма следует только в одном случае – с целью продажи. И для этого лучше использовать весы, желательно электронные. На кухне их тоже необходимо иметь, но для муки вполне можно обойтись приблизительными измерениями с помощью подручных «инструментов»: стакана и ложки. Не зацикливайтесь на граммах, не от этого зависит результат! Как правило, в кулинарных рецептах указывается примерное количество муки, которого следует придерживаться, и там, где написано «возьмите 100 г», в итоге у вас могут уйти все 150 или 80 на одно и то же изделие.
Происходит это от того, что мука муке рознь. В зависимости от сорта, условий выращивания, сбора, обмолота и хранения зерна, количества и состояния клейковины мука ведет себя в деле по-разному, отчего разумнее направить энергию не на скрупулезное вымеривание граммов, а на достижение нужной густоты теста. Зная это, многие кондитеры вообще не указывают вес муки в рецептах, а пишут «муки брать по потребности», что значит – «столько, сколько возьмет жидкость, чтобы получилась нужная консистенция».
Однако умение определять эту потребность и консистенцию приходит с опытом. Начинающим же кулинарам проще ориентироваться все-таки на граммы.
Как можно отмерить нужное количество муки?
- Взвесить на весах. Сейчас продается огромное количество недорогих бытовых механических и электронных весов. Последние, как наиболее точные, предпочтительнее, но дороже.
- Отмерить стаканами:
- сегодня в любом магазине, торгующем хозтоварами можно приобрести пластмассовые или стеклянные мерные стаканы самых разных объемов. При измерении ориентируйтесь на их риски, нанесенные для каждого продукта отдельно;
- если у вас имеется «мухинский» 250-граммовый стеклянный гранёный стакан с гладким ободком по верху, считайте, что вам повезло: вы обладаете классическим универсальным бытовым «измерительным прибором» для жидкостей и сыпучих продуктов. Большинство существующих российских сравнительных таблиц весов и мер ориентированы именно на это изобретение советской эпохи.
- сегодня в любом магазине, торгующем хозтоварами можно приобрести пластмассовые или стеклянные мерные стаканы самых разных объемов. При измерении ориентируйтесь на их риски, нанесенные для каждого продукта отдельно;
- Отмерить ложками. Ими удобно отмерять небольшое количество муки. В рецептах и таблицах подразумеваются обычно стандартные столовые ложки ёмкостью на 18 мл воды (с длиной черпала 7 и шириной 4 см) и чайные, вмещающие в себя 5 мл воды.
- Купить упаковку с фабричной расфасовкой, например в 1 кг, и разделить на равные части, например, 2 по 500, а потом 500 на 5. Не очень удобно, но возможно.
- Согласно общепринятым мерным таблицам, пшеничной муки в таком стакане помещается 160 г. Но при этом обязательно:
- мука должна была непросеянная;
- во избежание образования пустот её надо насыпать ложкой, а не зачерпывать всем стаканом;
- заполнять стакан следует без утрамбовывания, без постукиваний, легко и равномерно;
- сверху должна получиться большая округлая горка муки, напоминающая пышную шапку ромовой бабки или кулича.
- мука должна была непросеянная;
- Если наполнить стакан мукой, соблюдая эти же требования, но без горки, вровень с краями, то муки в нём уже будет 140–145 г.
- Чтобы отмерить таким же образом 100 г следует заполнить стакан на полтора ободка ниже его краёв. Для выравнивания верхнего слоя, чтобы лучше видеть уровень, можно осторожно на весу встряхнуть стакан одним-двумя лёгкими движениями из стороны в сторону. Но не стучать им об стол!
- При заполнении стакана другими методами результаты могут сильно отличаться. Так, в стакане заполненном первым способом («ромовая бабка»), но с утрамбовыванием муки путём постукивания донышком об стол после каждой насыпанной ложки, муки в нём будет уже не 160, а 200 граммов (±10 г). Что тоже удобно: разделив их затем пополам, получите 100.
В зависимости от горки вес муки в ложке может варьироваться от 6 до 45 граммов:
- 45 г – с максимально большой (огромной) горкой;
- 15 г – с горкой, равной объему самой ложки;
- 6 г – без горки, вровень с краями (наберите полную и ножом «сбрейте» верхушку начисто, чтобы в ложке образовалась идеально гладкая поверхность).
Как отмерить 100 г муки чайной ложкой?
Чайными ложками муку мерить неудобно. Тем не менее не лишним будет знать, что в неё (в зависимости от горки) помещается от 2 до 13 г пшеничной муки.
Чтобы получить табличные 8, поступите точно так же, как в случае с ложкой столовой и далее путём несложных вычислений отмерьте нужное количество ложек для получения 100 г.
Учитывая сказанное в самом начале статьи, помните, что все приведённые величины могут незначительно колебаться в большую или меньшую сторону, но абсолютная точность в случае с мукой и не обязательна. Лучше даже специально не выкладывать её сразу всю в тесто, а подсыпать постепенно в процессе замешивания, «по потребности», что будет ему только на пользу. И вам легче: исправить недостатки жидковатого теста всегда проще, чем излишне крутого.
Существуют также совершенно экзотические методы отмеривания 100 г муки, например, с помощью нарисованного прямоугольника. Возможно, он очень точный и интересный, но с практической точки зрения совершенно неприемлемый: больше рассыплете и перепачкаете, пока будете возиться. Не стоят 100 граммов таких усилий. Используйте старые опробованные дедовские способы или современные технические.
Если же вам для чего-то нужно строго 100 г муки и ни на грамм меньше или больше, а своих весов нет, попросите взвесить того, у кого они есть: продавца в магазине, подругу, соседа – свет не без добрых людей, помогут.
200 грамм муки это сколько стаканов – Telegraph
200 грамм муки это сколько стакановСколько грамм муки в стакане (200 мл, 250 мл)
=== Скачать файл ===
Мука используется при приготовления многих блюд и выпечки, но для каждого рецепта необходимо отмерить нужное количество муки в граммах и не у каждого есть дома свои весы, поэтому рассмотрим как взвесить муку без весов с помощью обычного стакана, узнаем сколько граммов муки в стакане граненом и чайном , а также сколько ложек муки вмещается в стакан. Для того, чтобы правильно измерить массу муки с помощью стакана, ее необходимо насыпать полный стакан до верху, но без горки и не нужно муку утрамбовывать ложкой. В 1 граненом стакане объемом мл вмещается грамм муки. В чайном стакане объемом мл вмещается грамм муки пшеничной. Во многих рецептах требуется подобное количество муки в граммах, поэтому ниже для Вас подсчитали, как отмерить стаканом муку для рецепта в граммах для удобства и точности измерения также будем использовать столовую и чайную ложку:. Вам также возможно полезно будет узнать: В заключение к статье можно отметить, что знания, как взвесить отмерить муку без весов стаканом, помогут готовить выпечку и многие блюда быстро, без лишних затрат времени на взвешивание муки. Свои отзывы по теме, сколько грамм муки в стакане муки, а также как отмерить нужный вес муки в граммах стаканом оставляем в комментариях к статье и делимся ей в социальных сетях, если она была Вам полезна. Ваш e-mail не будет опубликован. Польза и вред Как выбрать Время приготовления Как хранить Меры веса и объема Этикет Как есть фрукты Как есть овощи Как есть салаты Как есть закуски Как есть суп. Меры веса и объема. Сколько грамм муки в стакане мл, мл. Сколько в стакане воды мл, грамм. Добавить комментарий Отменить ответ Ваш e-mail не будет опубликован. Не нашли, что искали? InfoEda ИнфоЕда — сайт о еде и продуктах питания, их полезных свойствах. Полезные советы как выбрать, сколько готовить и как хранить продукты. Меры веса и объема из подручных средств на кухне. Копирование материалов без разрешения администрации сайта запрещено. Наличие индексируемой активной ссылки на сайт infoeda.
Почему ушла так рано стих
С чего начать строить бизнес
Обновить андроид с помощью компьютера
Установление факта трудовых отношений образец
Сколько куб газа на человека
Витамины мильгамма инструкция по применению
Скачать фридом на андроид с рут правами
Осевой момент инерции круга
Понятие и основные характеристики процесса управления
500 Грамм муки это сколько стаканов граненых
Вы хотите узнать 500 грамм муки это сколько столовых ложек или сколько стаканов? Ниже вы узнаете какой объем занимает мука.
500 грамм муки это:
| Это сколько столовых ложек 🥄: | 16 ложек и еще почти полная ложка (16.67 л.) |
| Это сколько стаканов тонких (250 мл) 🥛 : | 3 стакана и еще 12% стакана (3.13 ст.) |
| Это сколько стаканов граненых (200 мл) 🥛: | 3 стакана и еще почти целый стакан без малого (3.85 ст.) |
Данные в таблице выше для 500 гр муки были высчитаны автоматически.
Если мука сухая или нормальной влажности, а стакан взять старый, «советский», то пол/кила можно отмерять смело тремя стаканами, если не утаптывать. С небольшой (на мизинец, не больше) горочкой. А вот тонкостенные стаканы, «общепитовские» — два с половиной стакана. Или полторы солдатской кружки (по памяти).
Начнем с того,что стаканы бывают разные.
Стакан из тонкого стекла(250см.куб) содержит 160 грамм муки.То есть 3 стакана муки-это 480 грамм.Если взять обычный граненый стакан(200 см.куб),то он вмещает 130 грамм муки.То есть 4 таких стакана-это 520 грамм.
Другие продукты можно легко измерить с помощью вот такой таблицы:
Если использовать стаканы обьемом 250 мл, в которых согласно моим кухонным весам 160 гр муки, то получается: 500 гр можно будет получить при помощи двух полных и одного не полного стакана. Либо к двум 250 мл-вым чашкам муки добавить еще две чайные ложки (в чайной ложке 10 гр), вот и получится 500 гр.
Пятьсот грамм муки поместится в два стакан по двести грамм и один стакан стограммовый. Или же один трехсот-граммовый стакан и один двухсотграммовый стаканы. И конечно пятьсот грамм поместится в пол-литровый бокал из под пива.
Если в одном стакане примерно 200 граммов муки, то соответственно нужно 2,5 стакана чтоб получилось 500 граммов муки. Правда стакан стакану рознь.
Если верить специальной таблице,где есть соотношение массы и объема продуктов,то получим следующее:
Продукт/ Вес продуктов в граммах в стакане чайном/ в стакане граненом/в столовой ложке/ в чайной ложке
Мука пшеничная 160/ 130/ 25/ 8
ТАК ЧТО 500 ГРАММ МУКИ — ЭТО ТРИ СТАКАНА И 1 СТ. ЛОЖКА.
Меры веса и объема продуктов
Сколько продуктов содержится
в чайной / столовой ложке, стакане
Наименование продуктов
в граммах
Стакан
Ложка
1 шт.
тонкий (250см 3 )
граненый (200см 3 )
столовая
чайная
Какао в порошке
Капуста белая (средняя)
Капуста цветная (средняя)
Масло животное (растопленное)
Орех арахис (ядро)
Орех миндаль (ядро)
Орех фундук (ядро)
Яйцо без скорлупы (среднее)
Рад приветствовать вас на странице с условным названием «Сколько муки в стакане». Здесь вы конечно же найдете то, что искали. Еще бы!, наша таблица мер и весов наиболее полная в Рунете. Не зря же Гугл и Яндекс показывают нас едва ли не первыми, стоит спросить «сколько сахара в столовой ложке» или «сколько муки в граненом стакане»
Но на самом деле — основное назначение нашего сайта — научить человека управляться со своим весом, особенно если этот вес больше, чем хотелось бы.
Поверьте, в наше сытое время это не так-то и просто, особенно если ты склонен к полноте, особенно если приходится много нервничать, если не до себя.
Возможно, данная тема актуальна для вас или кого-то из ваших родственников, кому вы хотели бы помочь советом. И если у вас найдется минут пятнадцать, посмотрите из всего объема статей и видео только одну статью — «Семь шагов в стройность» http://www.d-slim.ru/st-hudeem-bistro-hudeem-pravilno.html В ней приведена очень внятная пошаговая программа похудения и поддержания достигнутого результата. Возможно в будущем эта статья убережет вас от чрезмерных и бесполезных усилий.
Но даже если времени нет, и интересует вас только конкретная информация по поводу мер и весов, не страшно. Просто запомните наш сайт. Вы можете сюда вернуться в любой момент, если вам потребуется объективная и действенная информация о похудении, стройности и здоровье.
Продукты питания для похудения
Это специализированные продукты питания, которые при правильном использовании позволяют обеспечить организм всеми необходимыми базовыми питательными веществами, создают чувство сытости и позволяют питаться правильно, интуитивно, и при этом худеть.
Таблицы преобразованияТаблицы преобразования на этой странице помогут вам преобразовать измерения из стаканов в граммы и унции, а также преобразовать рецепты из дрожжей в закваску или из закваски в дрожжи. Вы также найдете таблицу преобразования размеров яиц. Измерение ингредиентов по весу (в граммах), безусловно, сделает вас лучшим пекарем, поскольку точность имеет первостепенное значение при выпечке. Но должен сказать: если вы любите печь, сделайте себе одолжение и приобретите цифровые весы. Вы будете вознаграждены более стабильными результатами, меньшим объемом очистки и упрощенным процессом.Ищите модель, которая легко переключается между унциями и граммами, предпочтительно с десятичными знаками или с десятичными дробями и дробями, с шагом 1 грамм или меньше. Убедитесь, что весы включают функцию тарирования, кнопку, которая сбрасывает весы на ноль, чтобы вы могли последовательно взвешивать дополнительные ингредиенты в одной и той же чаше, или обнулять вес чаши или чашки для определения веса ее содержимого. Я выбрал многоцелевые цифровые весы для кухни и хобби My Weigh KD8000. Он имеет емкость 8000 грамм с разрешением 1 грамм.Для большей точности при взвешивании специй, пищевой соды и т. Д. Я использую карманные весы Weigh Grams, которые позволяют взвешивать максимальную грузоподъемность 100 граммов с разрешением 0,01 грамма (чтобы они были откалиброванными и точными, я также рекомендую купить это калибровочная гиря). Чтобы узнать о другом оборудовании для выпечки, которое я тестировал на протяжении многих лет и рекомендую, посетите страницу «Мое любимое оборудование для выпечки».
Если вам все же нравится использовать мерные чашки и ложки, или если вы готовите или выпекаете из книги, в которой не указан вес ингредиентов, смело используйте приведенные ниже таблицы преобразования, но имейте в виду, что я Я измерил каждый ингредиент ниже себя.Вес может значительно различаться в зависимости от метода, используемого для их измерения. Для муки я предоставил весовые эквиваленты, используя метод зачерпнуть и подметать (используйте ложку, чтобы взбить муку в мусорном ведре, окуните мерный стаканчик в муку и зачерпните его, затем протрите верхнюю часть контейнера). чашку с тыльной стороной ножа, чтобы выровнять ее), но автор книги, из которой вы выпекаете, возможно, использовал метод ложки и подметания, который даст вам другое количество. Всегда проверяйте книгу, чтобы убедиться, что об этом четко сказано.
Для других ингредиентов, на вес которых влияет метод измерения, таких как какао-порошок, кондитерский сахар, кукурузный крахмал, ореховая мука, матча, разрыхлитель и специи, я предоставил эквиваленты веса, используя метод ложкой и подметанием , где ингредиент наливают ложкой в мерную чашку или ложку, а затем протирают сверху тыльной стороной ножа, чтобы выровнять его.
Если измерение объема бесполезно (например, для шоколада или некоторых свежих продуктов), измерения веса предоставляются как в унциях, так и в граммах.При переводе имперских единиц веса в метрические единицы я округил до ближайших 5 граммов свыше 1 унции и до ближайших 50 граммов свыше 1 килограмма.
При переводе объема масла в вес унции округляются до ближайшей 0,1 унции, а граммы — до ближайших 5 граммов.
ТАБЛИЦЫ ПРЕОБРАЗОВАНИЯ
Преобразование из чашки в миллилитр (мл) Преобразование из
из чашки в унции (жидких унций) преобразование из
унций в граммы преобразование из
фунтов за преобразование в граммы
Преобразование из температуры печи (из ° F в ° C в метку газа)
ИНГРЕДИЕНТЫ — Объем (чашка, столовая ложка, чайная ложка) к весу (грамм, унция)
Скрепки для выпечки
Мука // Сахар-песок и фасованный светло-коричневый сахар // Коричневый сахар // Какао-порошок // Кукурузный крахмал
Кондитерский (порошковый) сахар // Разрыхлитель // Пищевая сода // Морская соль мелкого помола // Дрожжи быстрого приготовления
Молочные продукты, масло и жидкие подсластители
Масло (чашка — палочки — унции — граммы) // Оливковое масло
Молоко // Густые сливки // Процеженный (по-гречески) йогурт // Мед, кленовый сироп и патока
Орехи, семена и зерна
Мука из миндаля и фундука // Фисташковая мука // Миндаль / лесной орех / Фисташки — нарезанные // Половинки грецкого ореха
Фундук (целиком бланшированный) // Фисташки (целиком бланшированные) // Несладкие тертые сушеные кокосовые орехи
Кунжутные семена И семена льна и мака // Кедровые орехи и семена подсолнечника // Овсяные хлопья
Фрукты
Ежевика (свежие) // Черника (свежие) // Малина и клубника (свежие)
Вишня (свежие без косточек) и гранатовые орехи // Красная смородина (свежие)
Специи и желатин
Корица / имбирь / душистый перец (молотый) // Матча // Желатин (порошок)
Яйцо (большое) // Преобразование размера яйца // Преобразование дрожжей
Преобразование закваски в дрожжи // Преобразование дрожжей в закваску
ЧАШКА, СТОЛЬНАЯ ЛОЖКА и ЧАЙНАЯ ЛОЖКА до МИЛИЛИТРОВ (от чашки к мл)
1 чашка = 16 столовых ложек = 48 чайных ложек = 240 мл
3/4 чашки = 12 столовых ложек = 36 чайных ложек = 180 мл
2/3 чашки = 11 столовых ложек = 32 чайных ложки = 160 мл
1/2 чашки = 8 столовых ложек = 24 чайные ложки = 120 мл
1/3 стакана = 5 столовых ложек = 16 чайных ложек = 80 мл
1/4 стакана = 4 столовых ложки = 12 чайных ложек = 60 мл
1 столовая ложка = 15 мл
1 чайная ложка = 5 мл
(↑ к началу)
ИЗ ЧАШКИ в УНЦЫ ЖИДКОСТИ (из чашки в эт.унция)
1 чашка = 8 жидких унций
3/4 чашки = 6 жидких унций
2/3 чашки = 5 жидких унций
1/2 чашки = 4 жидких унции
1/3 чашки = 3 жидких унции
1/4 чашки = 2 жидкая унция
1 столовая ложка = 0,5 жидкой унции
1 жидкая унция = 2 столовые ложки = 6 чайных ложек
(↑ к началу)
УНЦ в ГРАММ *
1 унция = 28 граммов
2 унции = 55 граммов
3 унции = 85 граммов
3,5 унции = 100 граммов
4 унции = 115 граммов
5 унций = 140 граммов
6 унций = 170 граммов
8 унций = 225 граммов
10 унции = 285 граммов
12 унций = 340 граммов
16 унций = 1 фунт = 455 граммов
* Граммы округлены до ближайших 5 грамм.
(↑ к началу)
ФУНТОВ в ГРАММЫ И КИЛОГРАММЫ *
1/4 фунта = 115 граммов
1/2 фунта = 225 граммов
3/4 фунта = 340 граммов
1 фунт = 455 граммов
1,25 фунта = 567 граммов
1,5 фунта = 680 граммов
2 фунта = 908 граммов
2,5 фунт = 1,15 килограмма
3 фунта = 1,35 килограмма
* Килограммы округлены до ближайших 50 граммов, а граммы — до ближайших 5 граммов.
(↑ к началу)
FAHRENHEIT ( ° F ) от до CELCIUS (° C) до GAS MARK
250 ° F = 120 ° C = газовая метка 1/2
275 ° F = 135 ° C = газовая метка 1
300 ° F = 150 ° C = газовая метка 2
325 ° F = 160 ° C = газовая метка 3
350 ° F = 175 ° C = газовая метка 4
375 ° F = 190 ° C = газовая метка 5
400 ° F = 200 ° C = газовая метка 6
425 ° F = 220 ° C = газовая метка 7
450 ° F = 230 ° C = газовая метка 8
475 ° F = 245 ° C = газовая метка 9
500 ° F = 260 ° C = газовая метка 10
(↑ к началу)
МУКА *
1 стакан муки = 140 граммов
3/4 стакана муки = 105 граммов
2/3 стакана муки = 93 грамма
1/2 стакана муки = 70 граммов
1/3 стакана муки = 47 граммов
1/4 стакана муки = 35 граммов
1 столовая ложка муки = 9 граммов
* Вес может значительно отличаться в зависимости от метода измерения муки.Вышеприведенные значения рассчитаны в соответствии с методом зачерпнуть и подметать. для измерения муки по объему: взбейте ложкой муку в бункере, окуните мерный стакан в муку и зачерпните ее, затем подметите верх чашки с тыльной стороной ножа, чтобы выровнять ее.
(↑ к началу)
САХАР ГРАНУЛИРОВАННЫЙ И УПАКОВАННЫЙ СВЕТЛО-КОРИЧНЕВЫЙ САХАР
1 стакан сахарного песка = 200 граммов
3/4 стакана сахара-песка = 150 граммов
2/3 стакана сахара-песка = 133 грамма
1/2 стакана сахара-песка = 100 граммов
1/3 стакана сахара-песка = 67 граммов
1 / 4 стакана сахарного песка = 50 граммов
1 столовая ложка сахарного песка = 13 граммов
(↑ к началу)
САХАР КОРИЧНЕВЫЙ
1 стакан коричневого сахара = 220 граммов
3/4 стакана коричневого сахара = 165 граммов
2/3 стакана коричневого сахара = 145 граммов
1/2 стакана коричневого сахара = 110 граммов
1/3 стакана коричневого сахара = 75 граммов
1 / 4 стакана коричневого сахара = 55 граммов
1 столовая ложка коричневого сахара = 15 граммов
(↑ к началу)
ПОРОШОК КАКАО *
1 стакан какао-порошка = 100 граммов
3/4 стакана какао-порошка = 75 граммов
2/3 стакана какао-порошка = 67 граммов
1/2 стакана какао-порошка = 50 граммов
1/3 стакана какао-порошка = 33 грамма
1 / 4 стакана какао-порошка = 25 граммов
1 столовая ложка какао-порошка = 6 граммов
* Вес может значительно варьироваться в зависимости от метода, используемого для измерения какао-порошка.Приведенные выше значения рассчитаны в соответствии с методом «ложка и уровень», , где какао-порошок насыпают ложкой в мерную чашку или ложку, а затем протирают сверху тыльной стороной ножа, чтобы выровнять его.
(↑ к началу)
CORNSTARCH *
1 стакан кукурузного крахмала = 125 граммов
3/4 стакана кукурузного крахмала = 95 граммов
2/3 стакана кукурузного крахмала = 85 граммов
1/2 стакана кукурузного крахмала = 65 граммов
1/3 стакана кукурузного крахмала = 40 граммов
1/4 стакана кукурузного крахмала = 30 граммов
1 столовая ложка кукурузного крахмала = 8 граммов
* Вес может значительно различаться в зависимости от метода измерения кукурузного крахмала.Приведенные выше значения рассчитаны в соответствии с методом «ложка и уровень», , когда кукурузный крахмал насыпают в мерную чашку или ложку, а затем протирают по верху тыльной стороной ножа, чтобы выровнять его.
(↑ к началу)
КОНДИТЕРСКИЕ (ПОРОШКОВЫЕ) САХАР *
1 стакан кондитерского сахара = 160 граммов
3/4 стакана кондитерского сахара = 120 граммов
2/3 стакана кондитерского сахара = 107 граммов
1/2 стакана кондитерского сахара = 80 граммов
1/3 стакана кондитерского сахара = 53 грамма
1/4 стакана кондитерского сахара = 40 граммов
1 столовая ложка кондитерского сахара = 10 граммов
* Вес может значительно различаться в зависимости от метода измерения сахара кондитеров.Приведенные выше значения рассчитаны согласно методу «ложка и уровень», , где сахар кондитеров насыпают ложкой в мерную чашку или ложку, а затем протирают по верху тыльной стороной ножа, чтобы выровнять его.
(↑ к началу)
ПОРОШОК ДЛЯ ВЫПЕЧКИ
1 столовая ложка разрыхлителя = 12 граммов
2 + 1/2 чайных ложки разрыхлителя = 10 граммов
2 чайных ложки разрыхлителя = 8 граммов
1 + 3/4 чайных ложки разрыхлителя = 7 граммов
1 + 1/2 чайных ложки разрыхлителя = 6 граммов
1 + 1/4 чайных ложки разрыхлителя = 5 граммов
1 чайная ложка разрыхлителя = 4 грамма
3/4 чайной ложки разрыхлителя = 3 грамма
1/2 чайной ложки разрыхлителя = 2 грамма
1/4 чайной ложки разрыхлителя = 1 грамм
(↑ к началу)
ПИЩЕВАЯ СОДА
1 столовая ложка пищевой соды = 20 граммов
2 чайные ложки пищевой соды = 14 граммов
1 + 3/4 чайных ложки пищевой соды = 12 граммов
1 + 1/2 чайных ложки пищевой соды = 10 граммов
1 + 1/4 чайных ложки пищевой соды = 9 граммов
1 чайная ложка пищевой соды = 7 граммов
3/4 чайной ложки пищевой соды = 5 граммов
1/2 чайной ложки пищевой соды = 3 грамма
1/4 чайной ложки пищевой соды = 2 грамма
(↑ к началу)
МЕЛКОМОРСКАЯ СОЛЬ
1 столовая ложка мелкой морской соли = 24 грамма
2 чайные ложки мелкой морской соли = 16 граммов
1 + 3/4 чайных ложки мелкой морской соли = 14 граммов
1 + 1/2 чайных ложки мелкой морской соли = 12 граммов
1 + 1/4 чайные ложки мелкой морской соли = 10 граммов
1 чайная ложка мелкой морской соли = 8 граммов
3/4 чайной ложки мелкой морской соли = 6 граммов
1/2 чайной ложки мелкой морской соли = 4 грамма
1/4 чайной ложки мелкой морской соли = 2 грамма
(↑ к началу)
РАСТВОРИМЫЕ ДРОЖЖИ
1 столовая ложка быстрорастворимых дрожжей = 12 граммов
2 + 1/2 чайных ложки растворимых дрожжей = 10 граммов
2 чайных ложки растворимых дрожжей = 8 граммов
1 + 3/4 чайных ложки растворимых дрожжей = 7 граммов
1 + 1/2 чайных ложки растворимых дрожжей = 6 граммов
1 + 1/4 чайных ложки растворимых дрожжей = 5 граммов
1 чайная ложка растворимых дрожжей = 4 грамма
3/4 чайной ложки растворимых дрожжей = 3 грамма
1/2 чайной ложки растворимых дрожжей = 2 грамма
1/4 чайной ложки растворимых дрожжей = 1 грамм
(↑ к началу)
МАСЛО (чашка, палочка, фунт, унция, грамм) *
1 фунт сливочного масла = 455 граммов
1 стакан сливочного масла = 2 палочки = 8 унций = 230 граммов
1 палочка сливочного масла = 4 унции = 115 граммов
14 столовых ложек масла = 200 граммов = 7 унций
12 столовых ложек масла = 170 граммов = 6 унций
10 столовых ложек масла = 140 граммов = 5 унций
9 столовых ложек масла = 125 граммов = 4.5 унций
7 столовых ложек масла = 100 граммов = 3,5 унции
6 столовых ложек масла = 85 граммов = 3 унции
5 столовых ложек масла = 70 граммов = 2,5 унции
3 столовых ложки масла = 40 граммов = 1,5 унции
1 столовая ложка масла = 15 граммов = 0,5 унции
* Унции округлены до ближайшей 0,1 унции, а граммы — до ближайших 5 граммов.
(↑ к началу)
ОЛИВКОВОЕ МАСЛО
1 стакан оливкового масла = 216 граммов
3/4 стакана оливкового масла = 162 грамма
2/3 стакана оливкового масла = 144 грамма
1/2 стакана оливкового масла = 108 граммов
1/3 стакана оливкового масла = 72 грамма
1 / 4 стакана оливкового масла = 54 грамма
1 столовая ложка оливкового масла = 14 граммов
1 чайная ложка оливкового масла = 5 граммов
(↑ к началу)
НАПРЯЖЕННЫЙ (ГРЕЧЕСКИЙ СТИЛЬ) ЙОГУРТ
1 стакан йогурта = 230 граммов
3/4 стакана йогурта = 173 грамма
2/3 стакана йогурта = 153 грамма
1/2 стакана йогурта = 115 граммов
1/3 стакана йогурта = 77 граммов
1/4 стакана йогурта = 58 граммов
1 столовая ложка йогурта = 14 граммов
(↑ к началу)
МОЛОКО
1 стакан молока = 240 граммов
3/4 стакана молока = 180 граммов
2/3 стакана молока = 160 граммов
1/2 стакана молока = 120 граммов
1/3 стакана молока = 80 граммов
1/4 стакана молока = 60 граммов
1 столовая ложка молока = 15 граммов
(↑ к началу)
ТЯЖЕЛЫЙ КРЕМ
1 стакан жирных сливок = 240 граммов
3/4 стакана жирных сливок = 180 граммов
2/3 стакана жирных сливок = 160 граммов
1/2 стакана жирных сливок = 120 граммов
1/3 стакана жирных сливок = 80 граммов
1 / 4 стакана жирных сливок = 60 граммов
1 столовая ложка жирных сливок = 15 граммов
(↑ к началу)
МЕДОВЫЙ И КЛЕНОВЫЙ СИРОП И МОЛАССЫ
1 стакан меда (или кленового сиропа, или патоки) = 320 граммов
3/4 стакана меда = 240 граммов
2/3 стакана меда = 213 граммов
1/2 стакана меда = 160 граммов
1/3 стакана меда = 107 граммов
1/4 стакана меда = 80 граммов
1 столовая ложка меда = 20 граммов
(↑ к началу)
МИНДАЛЬНАЯ МУКА И ФЕДЕРАЛЬНАЯ МУКА (Бланшированная)
1 стакан миндальной (или фундуковой) муки = 100 граммов
3/4 стакана миндальной муки = 75 граммов
2/3 стакана миндальной муки = 67 граммов
1/2 стакана миндальной муки = 50 граммов
1/3 стакана миндальной муки = 33 грамма
1/4 стакана миндальной муки = 25 граммов
1 столовая ложка миндальной муки = 6 граммов
(↑ к началу)
Фисташковая мука (Бланшированная)
1 стакан фисташковой муки = 90 граммов
3/4 стакана фисташковой муки = 68 граммов
2/3 стакана фисташковой муки = 60 граммов
1/2 стакана фисташковой муки = 45 граммов
1/3 стакана фисташковой муки = 30 граммов
1 / 4 стакана фисташковой муки = 23 грамма
1 столовая ложка фисташковой муки = 6 граммов
(↑ к началу)
Миндаль / Фундук / Фисташки — НАРЕЗАННЫЕ
1 стакан нарезанного миндаля (или фундука или фисташек) = 100 граммов
3/4 стакана нарезанного миндаля = 75 граммов
2/3 стакана нарезанного миндаля = 67 граммов
1/2 стакана нарезанного миндаля = 50 граммов
1/3 стакана нарезанного миндаль = 33 грамма
1/4 стакана нарезанного миндаля = 25 граммов
1 столовая ложка нарезанного миндаля = 6 граммов
(↑ к началу)
ПОЛОВИНА ОРЕХА
1 стакан половинок грецкого ореха = 90 грамм
3/4 стакана половинок грецкого ореха = 68 грамм
2/3 стакана половинок грецкого ореха = 60 грамм
1/2 стакана половинок грецкого ореха = 45 грамм
1/3 стакана половинок грецкого ореха = 30 грамм
1 / 4 чашки половинок грецкого ореха = 23 грамма
(↑ к началу)
ЛЕСНОЙ ОРЕХ (ЦЕЛЫЙ Бланшированный)
1 стакан цельного бланшированного фундука = 130 граммов
3/4 стакана целого бланшированного фундука = 98 граммов
2/3 стакана целого бланшированного фундука = 87 граммов
1/2 стакана целого бланшированного фундука = 65 граммов
1/3 стакана целого бланшированного фундука = 43 грамма
1/4 стакана цельного бланшированного фундука = 33 грамма
(↑ к началу)
Фисташки (ЦЕЛЫЕ Бланшированные)
1 стакан целых бланшированных фисташек = 135 граммов
3/4 стакана целых бланшированных фисташек = 101 грамм
2/3 стакана целых бланшированных фисташек = 90 граммов
1/2 стакана целых бланшированных фисташек = 68 граммов
1/3 стакана целых бланшированных фисташек = 45 граммов
1/4 стакана целых бланшированных фисташек = 34 грамма
(↑ к началу)
КОКОСОВЫЙ МАСЛО СУШЕНЫЙ НЕСЛАВНЫЙ
1 стакан несладкого тертого сушеного кокоса = 80 граммов
3/4 стакана несладкого тертого сушеного кокоса = 60 граммов
2/3 стакана несладкого тертого сушеного кокоса = 53 грамма
1/2 стакана несладкого тертого сушеного кокоса = 40 граммов
1/3 чашка несладкого измельченного сушеного кокоса = 27 граммов
1/4 стакана несладкого измельченного сушеного кокоса = 20 граммов
1 столовая ложка несладкого измельченного сушеного кокоса = 5 граммов
(↑ к началу)
СЕМЕНА КУНЖУТА, СЕМЕНА ЛЬНА И СЕМЕНА МАКА
1 стакан семян кунжута (или семян льна или мака) = 160 граммов
3/4 стакана семян кунжута = 120 граммов
2/3 стакана семян кунжута = 107 граммов
1/2 стакана семян кунжута = 80 граммов
1/3 чашка семян кунжута = 53 грамма
1/4 чашки семян кунжута = 40 граммов
1 столовая ложка семян кунжута = 10 граммов
(↑ к началу)
СОСНОВЫЕ ОРЕХИ И СЕМЕНА ПОДСОЛНЕЧНИКА
1 стакан кедровых орехов (или семян подсолнечника) = 140 граммов
3/4 стакана кедровых орехов = 105 граммов
2/3 стакана кедровых орехов = 93 грамма
1/2 стакана кедровых орехов = 70 граммов
1/3 стакана кедровых орехов = 47 граммов
1/4 стакана кедровых орехов = 35 граммов
1 столовая ложка кедровых орехов = 9 граммов
(↑ к началу)
ОВЕС СТАРАЯ МОДНАЯ
1 стакан старомодных овсяных хлопьев = 80 граммов
3/4 стакана старомодных овсяных хлопьев = 60 граммов
2/3 стакана старомодных овсяных хлопьев = 53 грамма
1/2 стакана старомодных овсяных хлопьев = 40 граммов
1/3 стакана старомодных овсяных хлопьев = 27 граммов
1/4 стакана старомодных овсяных хлопьев = 20 граммов
(↑ к началу)
Корица / имбирь / душистый перец (молотый)
1 столовая ложка молотой корицы (или имбиря или душистого перца) = 9 граммов
1 чайная ложка молотой корицы = 3 грамма
3/4 чайной ложки молотой корицы = 2 грамма
1/2 чайной ложки молотой корицы = 2 грамма
1/4 чайной ложки молотой корицы = 1 грамм
(↑ к началу)
Матча
1 столовая ложка матча = 6 граммов
1 чайная ложка матча = 2 грамма
3/4 чайной ложки матча = 2 грамма
1/2 чайной ложки матча = 1 грамм
1/4 чайной ложки матча = 1 грамм
(↑ к началу)
Желатин (порошкообразный)
1 столовая ложка порошкообразного желатина = 12 граммов
1 чайная ложка порошкообразного желатина = 4 грамма
3/4 чайной ложки порошкообразного желатина = 3 грамма
1/2 чайной ложки порошкообразного желатина = 2 грамма
1/4 чайной ложки порошкообразного желатина = 1 грамм
(↑ к началу)
ЕЖЕВИКА
1 стакан свежей ежевики = 150 граммов
3/4 стакана свежей ежевики = 113 граммов
2/3 стакана свежей ежевики = 100 граммов
1/2 стакана свежей ежевики = 75 граммов
1/3 стакана свежей ежевики = 50 граммов
1 / 4 стакана свежей ежевики = 38 граммов
(↑ к началу)
ЧЕРНИКА
1 стакан свежей черники = 135 граммов
3/4 стакана свежей черники = 101 грамм
2/3 стакана свежей черники = 90 граммов
1/2 стакана свежей черники = 68 граммов
1/3 стакана свежей черники = 45 граммов
1 / 4 стакана свежей черники = 34 грамма
(↑ к началу)
МАЛИНА И КЛУБНИКА
1 стакан свежей малины (или клубники) = 120 граммов
3/4 стакана свежей малины = 90 граммов
2/3 стакана свежей малины = 80 граммов
1/2 стакана свежей малины = 60 граммов
1/3 стакана свежей малины = 40 граммов
1/4 стакана свежей малины = 30 граммов
(↑ к началу)
ВИШНЯ И ГРАНАТ АРИЛЫ
1 стакан свежей вишни без косточек (или плодов граната) = 140 граммов
3/4 стакана свежей вишни без косточек = 105 граммов
2/3 стакана свежей вишни без косточек = 93 грамма
1/2 стакана свежей вишни без косточек = 70 грамм
1/3 стакана свежей вишни без косточек = 47 граммов
1/4 стакана свежей вишни без косточек = 35 граммов
(↑ к началу)
КРАСНАЯ СТОК
1 стакан свежей красной смородины на стебле = 160 граммов
3/4 стакана свежей красной смородины на стебле = 120 граммов
2/3 стакана свежей красной смородины на стебле = 107 граммов
1/2 стакана свежей красной смородины на стебле = 80 граммов
1/3 чашка свежей красной смородины на стебле = 53 грамма
1/4 чашки свежей красной смородины на стебле = 40 граммов
(↑ к началу)
ЯЙЦО (БОЛЬШОЕ)
1 большое яйцо (в скорлупе) = 60 г = 2.12 унций
1 большое яйцо (без скорлупы) = 55 граммов = 1,94 унции
1 большой яичный желток = 1 столовая ложка = 20 граммов = 0,7 унции
1 большой яичный белок = 2 столовые ложки = 35 граммов = 1,23 унции
(↑ к началу)
КОНВЕРСИЯ РАЗМЕРА ЯЙЦА
1 среднее яйцо (в скорлупе) = 1,70 унции = 48 граммов
1 большое яйцо (в скорлупе) = 2,12 унции = 60 граммов
1 очень большое яйцо (в скорлупе) = 2,3 унции = 65 граммов
1 большое яйцо яйцо (в скорлупе) = 2,5 унции = 71 грамм
Большое яйцо в среднее яйцо в очень большое яйцо в гигантское яйцо
1 большое яйцо = 1 среднее яйцо = 1 очень большое яйцо = 1 гигантское яйцо
2 больших яйца = 2 средних яйца = 2 очень больших яйца = 2 больших яйца
3 больших яйца = 3 средних яйца = 3 очень больших яйца = 2 гигантских яйца
4 больших яйца = 5 средних яиц = 4 очень больших яйца = 3 больших яйца
5 больших яиц = 6 средних яиц = 4 очень большие яйца = 4 гигантских яйца
6 больших яиц = 7 средних яиц = 5 очень больших яиц = 5 гигантских яиц
Превращение чашки в яйцо
1 стакан цельного яйца = 5 средних / больших целых яиц = 4 очень больших / гигантских цельных яйца
1 стакан яичных желтков = 16 средних желтков = 14 больших желтков = 12 очень больших желтков = 11 больших желтков
1 стакан яичных белков = 8 средних белков = 7 крупных белков = 6 очень крупных белков = 5 крупных белков
(↑ к началу)
ПРЕОБРАЗОВАНИЕ ДРОЖЖЕЙ (СВЕЖИЙ в АКТИВНЫЙ СУХОЙ в МГНОВЕННЫЙ)
100 граммов свежие дрожжи = 41,25 грамма активные сухие дрожжи = 33 грамма быстрорастворимые дрожжи
(↑ к началу)
ПРЕОБРАЗОВАНИЕ ЗАВОДЫ В ДРОЖЖИ
Предполагая, что вы используете 100% -ную гидратацию (что означает, что вы поддерживаете закваску с равным весом муки и воды) закваски, вот как вы можете преобразовать рецепт закваски в рецепт, в котором используются коммерческие дрожжи .
Разделите количество закваски, использованной в рецепте, пополам и добавьте это количество к весу муки и воды в рецепте. Если вы все же предпочитаете длительный и медленный рост, используйте в рецепте 1/4 чайной ложки растворимых дрожжей. Если вы предпочитаете короткий и быстрый рост, используйте от 1 + 1/2 чайных ложек до 2 + 1/4 чайных ложек растворимых дрожжей для рецептов, требующих 300-500 граммов муки.
Допустим, в вашем рецепте закваски используется 200 граммов закваски, 300 граммов муки и 250 граммов воды.Теперь вам понадобится 400 граммов (300 + (200/2)) муки, 350 граммов (250 + (200/2)) воды и 2 чайные ложки растворимых дрожжей.
(↑ к началу)
ПРЕОБРАЗОВАНИЕ ДРОЖЖЕЙ В КИСЛО
Предполагая, что вы собираетесь использовать 100% -ную гидратацию (то есть вы поддерживаете закваску с равным весом муки и воды) закваски, вот как вы можете преобразовать рецепт дрожжевого теста в рецепт закваски .
Во-первых, вам нужно решить, сколько закваски использовать в рецепте.Обычно вам понадобится 1/5 от веса муки.
Допустим, в рецепте используется 500 граммов муки, 400 граммов воды и 2 + 1/4 чайных ложки дрожжей.
Вам понадобится 100 (500/5) граммов закваски. Затем разделите количество закваски, которое вы собираетесь использовать в рецепте, пополам и вычтите это количество из веса муки и воды в рецепте. Это означает, что вы будете использовать 450 граммов (500 — (100/2)) муки и 350 граммов (400 — (100/2)) воды в дополнение к закваске.Также не используйте дрожжи, указанные в рецепте. Обратите внимание, что использование закваски для закваски вместо коммерческих дрожжей значительно увеличит время для подъема теста.
(↑ к началу)
Заявление об ограничении ответственности: Все продукты, представленные на этой странице, были выбраны мной независимо. Я не принимаю никакой компенсации за рекомендации в моем блоге и никогда не буду рекомендовать продукт, который мне не нравится. Однако как партнер Amazon я зарабатываю на соответствующих покупках.Если вы купите что-нибудь по моим ссылкам, я бесплатно заплачу вам комиссию.
Сколько 200 граммов муки в чашках?
Знаете ответ на этот вопрос? Помогите сообществу, став участником.
Знаете ответ на этот вопрос? Помогите сообществу, став участником.
Как отмерить 200 граммов муки? Знаете ответ на этот вопрос? Помогите сообществу, став участником.
Какой объем 100 г муки? 189,27 мл
Сколько в 200 граммах муки? 200 грамм муки общего назначения =
——————————–
22,07
66,21
1,38
1,15
Сколько столовых ложек в 200 граммах муки? 200 грамм универсальной муки =
——————————–
22,07
66,21
1,38
1,15
Дополнительные вопросы
Какой объем 100 грамм?
100 граммов воды =
——————–
0.40
100,00
Сколько 200 г муки в стаканчиках?
Сколько 200 г в чашке?
Чашки США Метрическая Имперская система
——- ————–
1/2 стакана 100 г 3 1/2 унции
2/3 стакана 135 г 4 3/4 унции
3/4 стакана 150 г 5 1/4 унции
1 стакан 200 г 7 унций
Сколько чашек в 200 г муки?
Сколько в чашках 100 грамм муки?
Сколько 200 г муки в чашках?
100 г муки 100 мл?
Ответ: изменение единицы 100 г (порция — 100 грамм) в дозе белой муки равно = в 189.27 мл (миллилитр) эквивалентной меры и для того же вида белой муки.
Сколько 100 грамм в столовых ложках?
10 грамм = 0,67 210 грамм = 14 410 грамм = 27,3
—————- —————– —————-
100 грамм = 6,67 300 грамм = 20 500 грамм = 33,3
110 грамм = 7,33 310 граммов = 20,67 510 граммов = 34
120 граммов = 8320 граммов = 21,33 520 граммов = 34,7
130 граммов = 8,67 330 граммов = 22 530 граммов = 35,3
Какой объем 200 г муки?
200 грамм универсальной муки =
——————————–
22.07
66,21
1,38
1,15
Сколько столовых ложек в грамме?
15
Сколько в 200 граммах муки?
200 граммов универсальной муки =
——————————–
22,07
66,21
1,38
1,15
Сколько столовых ложек в 100 граммах?
граммов в столовые ложки воды в США
——————————–
100 граммов
110 граммов
120 граммов
130 граммов
Сколько GR в стакане муки?
Чашка универсальной муки весит 4 1/4 унции или 120 граммов.Эта таблица представляет собой краткий справочник по объему, унциям и эквивалентам в граммах обычных ингредиентов.
Сколько 200 г в чашках NZ?
Сколько 200 г в чашках NZ?
Сколько чашек в 200 г?
Чашки США Метрическая Имперская система
——- ————–
1/2 стакана 100 г 3 1/2 унции
2/3 стакана 135 г 4 3/4 унции
3/4 стакана 150 г 5 1/4 унции
1 стакан 200 г 7 унций
Сколько чашек в 200 граммах муки?
Измерение ингредиентов в граммах Эквивалентность в чашках (США)
—————– ——————– ————————
Универсальная мука 200 грамм 1.60 стаканов
Масло 200 граммов 0,88 стакана
Мука для торта 200 граммов 1,46 стакана непросеянного
Сахарный песок 200 грамм 1 стакан
Конверсии для выпечки — сначала десерт
Вот моя философия измерения при выпечке, состоящая из двух предложений: используйте весы. Это сделает вашу жизнь намного проще.
В США большинство измерений при приготовлении пищи по-прежнему производится в объеме: мерные чашки и ложки для сухих ингредиентов, мерные меры для жидкостей.Однако для выпечки, где точность является ключом к успеху многих рецептов, как только вы измерите вес, вы поймете неточность использования объема.
Я использую мерную муку как лучший пример. Возьмите мерный стакан, чтобы вынуть из пакета чашку муки и взвесить ее на кухонных весах. Теперь возьмите вторую чашку и взвесьте ее. Какая разница в весе? Вне зависимости от того, плотно ли вы насыпали муку, выровняли верхнюю часть мерного стакана, встряхнули чашку во время ее наполнения — все эти переменные будут влиять на то, сколько муки на самом деле входит в ваш рецепт — и это может каждый раз меняться.С другой стороны, если вы взвесите на весах 5 унций или 140 граммов муки, вы всегда будете получать одно и то же количество.
Вот почему я считаю свои кухонные весы одним из самых незаменимых инструментов на моей кухне. Используя его, я устраняю один из важнейших факторов, который может повлиять на результат выпечки: неточные измерения.
Тем не менее, многие из моих рецептов на этом сайте все еще имеют стандартные размеры США (чашки, пинты, чайные ложки и т. Д.), Потому что я адаптировал их из рецептов, в которых использовались эти измерения, и в то время я не был достаточно усердным, чтобы преобразовать все в метрике.
Я нахожусь в процессе преобразования всех рецептов на моем веб-сайте, чтобы они имели как стандартные, так и метрические измерения (а также их можно было распечатать), но тем временем я также размещаю эту страницу преобразований, которые я накопил с годами. Если вы встретите один из моих рецептов, но он не преобразован, воспользуйтесь приведенными ниже преобразованиями. Обратите внимание, что эта информация основана на рекомендациях по выпечке, с которыми я консультировался, и на моем личном опыте. Будьте осторожны, применяя их к своим рецептам — может потребоваться небольшая настройка, поскольку перевод между объемом и весом всегда является сложной задачей.Если у вас есть какие-либо вопросы или какие-либо преобразования, которые вы хотели бы видеть, напишите мне по электронной почте!
Мука / другие сухие ингредиенты
Универсальная мука (без просеивания, макания и зачистки): 1 стакан = 5 унций = 140 граммов
Универсальная мука (не просеянная, насыпанная в чашку): 1 чашка = 4 1/2 унции = 125 граммов
Универсальная мука (просеянная перед измерением): 1 стакан = 4 унции = 112 граммов
Мука для торта (без просеивания, макания и зачистки): 1 стакан = 4 2/3 унции = 130 граммов
Мука для торта (не просеянная, насыпанная в чашку): 1 чашка = 4 унции = 110 граммов
Мука для торта (просеянная перед измерением): 1 стакан = 3 1/2 унции = 100 граммов
Кукурузный крахмал: 1 чашка = 4 унции = 110 граммов
Какао-порошок (разлить в чашку): 1 чашка = 3 1/4 унции = 91 грамм
Разрыхлитель, пищевая сода: 1 чайная ложка = 5 граммов
Быстрорастворимые дрожжи, активные сухие дрожжи: 2 1/4 чайных ложки = 1/4 унции = 7 граммов
Соль: 1 чайная ложка = 6 1/2 грамма
Сахар
Гранулированный белый сахар: 1 чашка = 7 унций = 200 граммов
Коричневый сахар (светлый или темный): 1 чашка = 7 унций = 200 граммов
Кондитерский сахар (пудра / глазурь) (для макания и взбивания): 1 чашка = 4 унции = 110 граммов
Молочная
Молоко (все виды), половина на половину, пахта: 1 стакан (мерка жидкости) = 8.2 унции = 230 граммов
Густые сливки, сметана, йогурт: 1 стакан (мера жидкости) = 8,2 унции = 230 граммов
Сливочное масло: 1 чашка (2 палочки) = 8 унций = 220 граммов
Прочие жидкости
Вода: 1 стакан (мера жидкости) = 8,2 унции = 230 граммов
Кукурузный сироп: 1 чашка (мера жидкости) = 10,9 унции = 310 граммов
Патока: 1 стакан (мерная емкость для жидкости) = 9 унций = 260 граммов
Мед: 1 стакан (мера жидкости) = 10,9 унции = 310 граммов
Растительное / рапсовое / сафлоровое масло: 1 стакан (мера жидкости) = 7 унций = 200 граммов
Яйца
1 большое яйцо в скорлупе = 57 грамм
1 большое яйцо без скорлупы = 50 грамм
1 большой яичный белок = 30 грамм
1 большой яичный желток = 18 грамм
Общие единицы измерения сухого вещества
3 чайные ложки = 1 столовая ложка = 1/2 унции = 14 граммов
4 столовые ложки = 2 унции = 1/4 стакана = 56 граммов
32 столовые ложки = 2 чашки = 16 унций = 1 фунт
Другие распространенные преобразования
1 унция = 28 граммов
1 жидкая унция = 30 миллилитров
1 галлон = 4 кварты = 8 пинт = 128 унций = 3.8 литров (жидкость)
Замены (от Cook’s Illustrated)
Чтобы заменить 1 стакан цельного молока, используйте:
- 5⁄8 стакана обезжиренного молока + 3⁄8 стакана пополам
- 2⁄3 стакана 1% молока + 1⁄3 стакана пополам
- 3⁄4 стакана 2% молока + 1⁄4 стакана пополам
- 7⁄8 стакана обезжиренного молока + 1⁄8 стакана жирных сливок
Для замены 1 чашки пополам используйте:
- 3⁄4 стакана цельного молока + 1⁄4 стакана жирных сливок
Мука измеряет стаканы и граммы.Сколько грамм муки в стакане, чайной и столовой
В рецептах часто можно встретить такие фразы, как «добавить 50 г сахара, 95 г сливочного масла, 57 г муки, 10 г разрыхлителя, 7 г соли», но отмерять такую массу продуктов без использования специальных кухонные весы могут быть очень проблематичными.
Опыт показывает, что отмерить объем ингредиентов можно не только чайными и столовыми ложками, но и с помощью различных стаканов.
Разновидности стаканов
Есть несколько типов:
- Граненый — был разработан для мореплавателей еще при Петре I — во время качелей судно переворачивалось, но не скатывалось со стола из-за характерного расположения бортов. В современном мире такие суда широко используются в общепите и в поездах, так как по своей конструкции они прочнее своих аналогов. Вмещает традиционный советский стакан объемом 250 мл, а до полоски (полоски) — 200 мл.
- Измеряется , используется для измерения сыпучих продуктов или жидкостей во время приготовления. Обычно его минимальная вместимость составляет 200 мл.
- Старый мод применяется для алкогольных напитков с большим количеством кубиков льда в составе, вмещает 300 мл. Он изготовлен из толстого стекла для предотвращения быстрого таяния льда. В кулинарии Old fashion не используется для измерения количества продуктов.
- Collins предназначен для спиртных напитков значительного объема — так как в нем содержится целых 350 мл, а емкость имеет цилиндрическую форму.В рецептах не используется.
Сколько сахара в граненом стакане
Сахар имеет довольно большой вес из-за химической структуры молекул (молярная масса одной молекулы составляет примерно 343 г на моль).
Тем не менее, сыпучий сахар-рафинад в кружке весит немного меньше воды из-за физической структуры молекул: между ними образуются настолько большие расстояния, что в них могут проникать атомы.
Чтобы найти массу сладкого вещества в граненом сосуде, нужно знать его плотность и объем.До рисков (полосок) этот сосуд вмещает 200 мл, в системе СИ — 200 куб.
Плотность сахара из таблицы пищевой плотности: 0,8 г на см3. Для расчета массы нужно плотность умножить на объем: 200 * 0,8 = 160 г. Получается, что в одном двести миллилитровом граненом сосуде 160 г сладкого вещества.
Как отмерить сыпучий продукт в контейнерах 250 мл, 300 мл, 350 мл
Используя этот алгоритм (умножая плотность сахара-рафинада на вместимость контейнера), вы можете легко составить таблицу соответствия между мл в контейнере и количеством г сладкого вещества:
Сколько граммов равно 2, 3, 4, 5 стакана сахара?
Чтобы узнать, сколько граммов сладкого вещества в емкости, можно воспользоваться тем же алгоритмом, что и при подсчете количества граммов в определенном объеме емкости.
Для расчетов нужно учитывать вместимость стандартного граненого сосуда — 200 мл = 200 куб. В одном стакане 160 г сахара-рафинада, то есть в два раза больше, в 2 раза — 320 г, в трех — 480 и т. Д. Таблица соответствия количества емкостей и массы сахара-рафинада в них:
Как отмерить 200, 250, 300 грамм сахара
Чтобы правильно рассчитать, сколько сосудов потребуется для той или иной массы сладкого вещества, нужно знать простую формулу: чтобы найти объем, нужно массу разделить на плотность.
При делении 200 г сахара на табличное значение плотности (0,8 г на куб. См) получается 250 куб. См (или 250 мл). Это значение соответствует вместимости полностью заполненного граненого советского контейнера.
Аналогичным образом можно рассчитать количество стаканов, которое потребуется на 250 г сладкого вещества. 250 г сахарного песка занимает 312,5 кубических сантиметра, что соответствует наполнению двух сосудов: первая должна быть заполнена полностью, а вторая — только на четверть.
На 300 грамм сахарного песка уходит 375 куб. Для этого объема нужно взять 2 граненых стакана: первый полный доверху, а второй только наполовину.
Правильное количество каждого ингредиента очень важно при приготовлении: если вы измените пропорции воды и муки при выпечке хлеба, тесто может не подняться или, наоборот, иметь слишком водянистую структуру.
Для определения массы сыпучих продуктов вы можете использовать информацию о том, сколько миллилитров может вместить каждая емкость.
Для определения веса сыпучих продуктов можно использовать физическую формулу: масса равна плотности, умноженной на объем.
Плотность вещества можно узнать из таблицы в Интернете, а вместимость сосуда должна быть вам уже известна, например, вместимость столовой ложки — 15 мл, чайной ложки — 5 мл.
Если у вас нет граненого стакана, но есть кухонные весы, возьмите обычную чашку и по меркам весов найдите и отметьте линию 200 или 250 мл — как вам нравится.
В кулинарных книгах и на сайтах рецептов обозначения «200 г муки», «1 ч. Л. газировка »и т. д. Эти меры расчета необходимы для получения вкусного блюда, а для этого нужно соблюдать указанные пропорции. Добавление ингредиентов« на глаз »приводит к порче конечного продукта, неправильная консистенция — слишком жидкая или, наоборот слишком толстый.
Кулинария — это одновременно наука и искусство, требующее, как и другие ремесла, основательного подхода к делу. Часто бывает, что хозяйка не имеет под рукой мерных весов для точного измерения.На помощь приходит стакан, который есть на каждой кухне.
Купить специальные кухонные весы — отличное решение для любителей готовить дома. Но что делать, если такого устройства нет.
Обычно используется для измерения:
- Ложки: чайные, столовые и десертные (не всегда). В одной чайной ложке — 4 грамма муки, с горкой — 5; в столовой — 10, с горкой — 15.
- Банки 0,5, 1, 1,5 и 3 литра;
- Стаканы: обычные, пластиковые, граненые, мерные.В среднем стандартном стакане 140 грамм муки, с горкой — около 150. Очень важно отметить, что пшеничный продукт следует высыпать до краев емкости, но не более.
Какие очки
Есть четыре типа очков:
Сколько граммов муки в 1 стакане
Обычный тонкий стакан (250 миллилитров) вмещает 160 г.
1,5 стакана муки — сколько грамм?
Объем можно определить без специальных весов.
После несложных расчетов получаем нужную сумму:
- стакан вмещает 160 грамм муки;
- 1,5 стакана — 240 г.
Как взвесить муку без весов с помощью стакана
Все просто! Перед приготовлением изучите ингредиенты и их грамм, это очень важно. Например, тесто — это основа для пиццы, пирогов, булочек, пирогов, блинов, а при неправильной добавке муки может вообще не получиться, а конечное блюдо будет совсем невкусным.Слишком много пшеничного продукта сказывается на вкусовых качествах — явно чувствуется сырая мука.
На сайтах и в книгах кто-то сразу оставляет пометки о том, сколько стаканов, кто-то пишет количество ложек, а зачастую только граммы. Как было сказано выше, удобнее всего использовать мерный стаканчик, а при его отсутствии знать объем емкости, в которую вы будете наливать пшеничный продукт. Но помните — величина объема никогда не равна весу муки!
Полезная информация
Блюда из пшеничной муки очень полезны! Они нормализуют обмен веществ, выводят шлаки и шлаки из организма, значительно укрепляют мышечную ткань.Тот же хлеб имеет значительную энергетическую ценность из-за высокого содержания углеводов. Конечно, не стоит забывать и о переедании, а во время диет следует полностью исключить мучное.
Сколько граммов сахара в стакане и ложке (чайной и столовой)? Ищите ответы в этой статье.
Во многих рецептах указывается количество сахара в граммах. Но что делать тем хозяйкам, у которых нет кухонных весов? Как можно измерить сахарный песок? Сколько граммов сахара в стакане или ложке? Ответы на эти и другие вопросы вы найдете в этой статье.
Отмерить сахар можно ложкой и стаканом.
- Если вам нужно много этого продукта, например, на варенье, то мерять ложкой неудобно. Как отмерить сахар стаканом?
- Вес продукта в стакане обычно указывается без горки. Для придания продукту нужной массы положите сахар в стакан с горкой и проведите ножом по верху, чтобы убрать излишки.
- Соответственно полстакана будет равняться полмере.Конечно, точно отмерить до грамма не получится, но приблизительное количество будет известно.
Совет: Если вам нужен точный вес сахара, то лучше воспользоваться кухонными весами или попросить взвесить продукт в любом ближайшем магазине или на рынке.
Сколько граммов сахара в одном граненом стакане 250 мл и стакане 200 мл: мера и вес сахара
Всем известно, что в граненом стакане с ободком 250 мл воды.Но сахар тяжелее воды, поэтому значения его веса будут другими. Сколько граммов сахара в одном граненом стакане на 250 мл и стакане на 200 мл? Измерение и вес сахара:
- Мера стеклянная граненая большая с ободком — 250 мл , вес сахара в таком стакане 200 грамм
- Размер граненого стакана без бортика — 200 мл, вес сахара в таком стакане — 160 грамм , если он наполнен до краев без горки.
Если у вас есть мерный стакан, вы можете измерить вес в нем. Для этого необходимо умножить необходимый вес в граммах на 1,25 и получить объем в миллилитрах. Если вам нужно посчитать наоборот и перевести миллилитры в граммы, умножьте количество миллилитров на 0,8. См. Пример в таблице:
В Интернете можно найти такие рецепты, в которых сахар необходимо измерять стаканом. Но у многих, особенно молодых хозяйок, нет граненого стакана.Ведь такие емкости можно было купить еще во времена СССР, сейчас стаканы другие и вес в них тоже будет другой. Но вы можете отмерить необходимый объем столовыми и чайными ложками. Сколько чайных и столовых ложек в стакане сахара?
- Одна столовая ложка с горкой вмещает 25 граммов сахара. Теперь посчитаем: в стакане 200 грамм сахара, значит, в него поместится 8 столовых ложек этого продукта.
- Чайная ложка с горкой вмещает 8 граммов сахара , что означает, что в стакане будет 25 чайных ложек продукта.
Кстати, ложки чайные и столовые тоже разные, и если вам нужен точный вес, то выбирайте эти изделия стандартной формы — углубленные и слегка вытянутые.
Чтобы вычислить, сколько стаканов сахара в одном килограмме, вам снова нужно использовать простые математические вычисления. Выше было сказано, что в большом граненом стакане с доверху налито 200 граммов сахара. Соответственно в 1 килограмме (1000 грамм) 5 стаканов сахара: 1000 грамм: 200 грамм = 5 стаканов.
2 стакана сахара: сколько это граммов?
Если в рецепте написано, что в тесто, варенье или другую посуду нужно положить 450 грамм сахара, то как измерить этот вес? Из вышеперечисленных мер ясно, что 2 стакана сахара — это 400 граммов. Добавьте еще 2 столовые ложки этого продукта и получите 450 граммов сахара.
Теперь вы знаете, что можете обойтись без кухонных весов. В доме всегда есть стакан и ложка, которыми опытные хозяйки измеряют вес различных сыпучих продуктов питания — удобно и легко.
Видео: как измерить без веса [рецепты приятного аппетита]
Сколько грамм муки в стакане, столовой, десертной и чайной ложке.
Мука является основным ингредиентом кулинарии и очень часто используется для приготовления первых и вторых блюд. Молодым хозяйкам часто попадаются рецепты, в которых указано — всыпать энное количество муки. Первое, что приходит в голову, — это пойти в магазин за электронными весами, но если вдуматься, наши бабушки и мамы веками готовили по этим рецептам, не пользуясь весами.Как? С помощью обычных ложек, стаканов и стаканов.
В этой статье мы расскажем и дадим таблицы, как отмерить малый вес муки с помощью доступных инструментов.
Сколько граммов весит столовая и чайная ложка муки?
Для того, чтобы правильно отмерить муку, лучше брать ее прямо из упаковки и просеивать после того, как вы отмерили необходимое количество, так как после просеивания мука более «пышная» и объемная, а значит, в том же объеме. будет меньше муки.
В одной столовой ложке без горки (разрезать ровно по краям) 15 г муки, но если взять ложку с горой, курица чуть-чуть, чтобы осыпались лишние «пики» — 30 гр. В чайной ложке без горки (опять же срезанной горки) 5 г муки, а с горкой (обязательно присыпать выступающие вершины) — 10 г.
Также не стоит забывать о десертной ложке, которая обязательно есть у каждого в доме. Возьмите десертную ложку, сбейте острые вершины и у вас получится полная ложка с наконечником — получится 20 г муки, а если срезать верхушку — 10 г.
Таблица веса муки в столовых и чайных ложках и стаканах
Ложка — самый популярный способ отмерить муку. Ведь модно собирать его прямо из пачки, а после этого достаточно стряхнуть и промыть, чтобы привести инвентарь в порядок. Предлагаем вам ознакомиться с таблицей, в которой указано количество граммов муки и количество ложек.
| Мука в граммах | Количество ложек с горками и без них |
| 5 | Ch.Л. без горки |
| 10 | 1 ч.л. с горкой |
| 20 | 1 десерт с ломтиком |
| 30 | 1 ст. л. с горкой |
| 40 | 1 ст. л. и 1 ч. с горками |
| 45 | 1 ст. л. со слайдом + один без слайда |
| 50 | 1 ст. л. и 2 ч. с горками |
| 55 | 1 ст.л. и 2 ч. с горками |
| 60 | 2 ст. л. с горками |
| 70 | 2 ст. л. и 1 ч. с горками |
| 80 | 2 ст. л. и 2 ч. с горками |
| 90 | 3 ст. л. с горкой |
| 100 | 3 ст. л. и 1 ч. с горками |
| 110 | 3 ст. л. и 2 ч. ложка с горками |
| 115 | 3 ст.л. с горками и 2 ч. с горошком |
| 120 | 4 ст. л. с горками |
| 125 | 4 ст. л. с горками и 1 ч. без горки |
| 130 | 4 ст. л. с горками и 1 ч. с горкой |
| 140 | 4 ст. л. и 2 ч. с горошком |
| 150 | 5 ст. л. ложки с горошком |
| 160 | 5 ст.л. ложки с горкой и 1 ч. с горкой |
| 175 | 5 ст. л. с горкой и тремя ч. ложки с горкой |
| 180 | 6 ст. л. с большой горкой |
| 200 | 6 ст. л. с горкой и 2 ч. с горкой |
| 220 | 7 ст. л. с горками и одной ч. с горкой |
| 250 | 8 Арт. л. с горками и одной ч. с горкой |
| 260 | 8 Арт.л. с горками и 2 ч. также с горками |
| 280 | 9 Арт. л. ложки с горкой и дополнительно 1 ч. с горкой |
| 300 | 10 ст. л. с горками |
| 350 | 11 Арт. л. ложки с горкой и 2 ч. с горкой |
| 400 | 13 Арт. л. с горкой и 1 ч. ложка с горкой |
| 450 | 15 Арт. л. ложки с горкой |
| 500 | 16 Арт.л. ложки с горками и 1 десертная ложка с горкой (или 2 ч.л. с горками) |
| 600 | 20 Арт. л. ложки с горошком |
| 190 | Стакан 250 мл до краев |
| 160 | Стакан 250 мл до обода |
| 150 | Стакан 200 мл до краев |
| 130 | Стакан 200 мл до обода |
Сколько чайных и столовых ложек муки в стакане на 200 мл?
Иногда бывает неудобно переливать ложками, используются стаканы.В этом случае возникает закономерный вопрос — сколько столовых и чайных ложек муки в одном стакане на 200 мл?
Один стакан на 200 мл, наполненный до краев, содержит 5 столовых ложек с горкой и 15 чайных ложек с горкой.
Если используется стакан на 250 мл и он до краев заполнен мукой, но без горки, то он содержит 6 столовых ложек с горкой и одну без горки, а также 19 чайных ложек с горкой.
100 грамм муки: сколько это столовых ложек?
В одной столовой ложке с горкой содержится 30 г муки, из этого следует, что 100 г муки равны 3 столовым ложкам с горкой, а одна без горки — неполным.
Сколько столовых ложек в 70 граммах муки?
Предлагаю провести мини подсчет, сколько столовых ложек в 70 г муки.
30 г — столовая ложка с горкой, 15 г — без горки. Соответственно на 70 будет 2 ложки с горкой + 2/3 столовой ложки.
Сколько граммов муки в одном стакане на 200 мл?
В полный стакан объемом 200 мл помещается 150 г муки. Если высыпать до краев — 130 г муки.Особенно удобно использовать стаканы при замешивании теста и приготовлении еды в больших объемах.
Сколько граммов муки в одном граненом стакане на 250 мл?
В полный стакан объемом 250 мл помещается 190 г муки. Если высыпать до краев — 160 г муки.
1 кг муки: сколько стаканов по 250 мл?
Если у вас есть мешок муки, и вам нужно отмерить 1 кг муки стаканами, это 5 полных стаканов (250 мл) муки без горок и 2 столовые ложки с небольшими горками.
Видео: Сколько грамм муки в стакане?
Сегодня и женщины, и мужчины увлечены кулинарией. Даже если это хобби — домашнее хобби, нужно знать азы кулинарии. В первую очередь стоит определиться со значениями, граммами. Мало кто сразу может ответить, сколько граммов муки в стакане. Сколько грамм муки в граненом стакане? Эти базовые вещи нужно знать даже для приготовления простых блинов или блинов.
Меры для расчета веса
При наличии кухонных весов произвести какие-либо замеры не составит труда.Но, если их нет, что делать? Кроме того, есть некоторые ингредиенты, которые довольно проблематично разместить на весах (молоко, йогурт). Сделать правильное измерение можно с помощью специальной мерной посуды. Но не на каждой кухне есть такое устройство.
Следовательно, для измерения различных величин используются следующие предметы:
- Чайная ложка, стол, десерт;
- Обычное стекло;
- Стекло граненое;
- Банка 500 мл;
- Банка 1 л.
Стекла разных типов (пластиковые, граненые, стеклянные) имеют разный объем.Также учитывается сам ингредиент взвешивания. Ведь граммы и миллилитры различаются по размеру. При определении веса муки продукт нужно насыпать до краев стакана, но без горки, только до пояса. Между продуктом и краем сковороды должно быть около 1 миллиметра зазора.
В чем разница между граммами и миллилитрами?
Еще со школы все знают, что граммы — это мера массы, а миллилитры — мера объема.Для расчета точного веса необходимо использовать разные формулы в зависимости от измеряемого продукта. Так, емкость с номиналом 200 мл не будет вмещать столько же граммов сыпучего материала. Равные количества будут только в случае измерения воды.
Но, например, молоко уже будет рассчитываться исходя из такого соотношения: 1 мл = 1,03 г. Что касается такого сыпучего продукта, как мука, соотношение следующее: 1 мл = 0,53 г. Из этого следует, что для определения уровня сыпучей составляющей в емкости нужно объем посуды умножить на 0.53. Так вы можете получить количество этого продукта.
Уровень муки в одном стакане
В большинстве рецептов приготовления десертов и выпечки указывается вес муки в граммах. Избыточное количество муки, а также ее недостаточность существенно влияют на качество и вкус блюда. Поэтому количество продукта должно быть четким, грамм на грамм. Сколько муки может вместить стакан на 200 мл?
Граненый стакан объемом 200 мл будет содержать 130 грамм простой муки (пшеничной). А какой уровень муки в стакане 250 мл? Этот контейнер вмещает 160 граммов продукта (пшеницы).В случае использования кукурузной муки значения будут такими же. Но у картофельного продукта разная плотность. Итак, стакан 200 мл — 150 г картофельного продукта, емкость 250 мл — 180 г.
Сколько граммов муки в чайной ложке?
Количество муки в ложке зависит от помола и вида продукта. Итак, стоит отметить следующие количества:
- Кукурузная мука — 10 грамм в 1 чайной ложке;
- Мука пшеничная — 8 грамм;
- Картофельная мука — 10 грамм.
Сколько граммов муки в ложке, если это не чайная, а столовая? В 1 столовой ложке будет 25 граммов пшеницы и 20 граммов кукурузного продукта. Один граненый стакан (200 мл) содержит 4 полных (с горкой) и 1/3 ложки (столовые) пшеничных компонентов. Очень часто встречаются вкусные рецепты, требующие использования небольшого веса этого продукта. Поэтому мерять его будет удобнее ложками.
Вес соли и сахара в одном стакане
Для приготовления тех же десертов требуется большое количество сахара.Поэтому отмерять сахарный песок удобно в стаканах. Емкость на двести миллилитров содержит 180 граммов сахара. А в посуде на 250 миллилитров — 200 грамм сахара.
Соль можно отмерить как ложками, так и стаканами. Рецепты солений для консервирования чаще всего требуют много соли. Поэтому можно отметить следующие значения:
- Мерный стакан 250 мл — 320 г соли;
- Граненый стакан 200 мл — 230 г;
- 1 столовая ложка без горки — 40 г;
- 1 десертная ложка — 25 г;
- 1 чайная ложка — 13г.
Значения таблицы
Чтобы быстро вычислить, сколько граммов муки в столовой ложке, поможет таблица.
Объем:
| Название продукта | Стакан | Ложка | Банка 500 мл | Банка 1 л | |||
| 200 мл | 250 мл | столовая | чайхана | десерт | |||
| Сахар | 160 | 200 | 30 | 10 | 20 | 400 | 800 |
| Пшеничная мука | 130 | 160 | 25 | 8 | 15 | 320 | 640 |
| Кукурузная мука | 145 | 180 | 30 | 10 | 20 | 360 | 720 |
| Мука гречневая | 130 | 175 | 25 | 8 | 15 | 340 | 690 |
| Овсяная мука | 100 | 130 | 20 | 5 | 10 | 285 | 620 |
| Гречка | 165 | 210 | 25 | 7 | 15 | 420 | 830 |
| Рис | 180 | 240 | 25 | 8 | 15 | 460 | 920 |
| Соль | 250 | 320 | 40 | 13 | 25 | 650 | 1280 |
| Просо | 170 | 220 | 25 | 8 | 15 | 440 | 880 |
| Манная крупа | 160 | 200 | 20 | 7 | 15 | 400 | 800 |
| 1 метрическая чашка = 250 миллилитров = 0.25 литров = 250 кубических сантиметров
| ||||||||||||||||||||||||||||||||||||||||||||||||||||||||||||||||||||||||||||||||||||||||||||||||||||||||||||||||||||||||||||||||||||||||||||||||||||||||||||||||||||||||||||||||||||||||||||||||||||||||||||||||||||||||||||||||||||||||||||||||||||||||||||||||||||||||||||||||||||||||||||||||||||||||||||||||||||||||||||||||||||
Измерения и преобразования для приготовления пищи — Как измерить пищевые ингредиенты
Все ингредиенты для приготовления пищи измеряются с помощью набора мерных стаканов (1 чашка = 250 мл) размером во всех рецептах на этом веб-сайте.
Набор мерных стаканов — важная посуда, которую нужно иметь на кухне, и ее всегда рекомендуется использовать для всех новых рецептов, которые вы пробуете. Для получения наилучших результатов приготовления по рецептам, указанным на нашем веб-сайте, перед началом работы необходимо измерить все ингредиенты мерными стаканами и ложками метрического типа и расположить их в порядке использования (обычно в порядке ингредиентов, указанном в таблице). по направлениям. Это упростит приготовление, снизит вероятность того, что вы забудете добавить / использовать ключевые ингредиенты и, что наиболее важно, потеряет критическое время на поиск ингредиента, когда процесс приготовления уже начался, а рецепт требует добавления следующего ингредиента на очень конкретном этапе, а не переваривания.
Стандартные преобразования чашек в столовую и чайную
На приведенной выше фотографии вы можете увидеть различные типы ложек и чашек. Типичные размеры мерных чашек для приготовления пищи: 1 чашка, 1/2 чашки, 1/3 чашки, 1/4 чашки и 1/8 чашки.Типичные размеры ложки: 1 столовая ложка, 1/2 столовой ложки, 1 чайная ложка, 1/2 чайной ложки и 1/4 чайной ложки. Кувшин (большая емкость с индикацией измерения) обычно используется для измерения жидких ингредиентов в больших количествах. Иногда можно легко потерять части наборов мер, и последующая информация о преобразовании поможет вам определить правильный размер.
| Обычные чашки в столовые и чайные ложки Таблица преобразования | ||
| 1 чашка | 16 столовых ложек | |
| 1/2 чашки | 8 столовых ложек | |
| 1/4 чашки 912 | 1/8 чашки | 2 столовые ложки |
| 1 столовая ложка | 3 чайные ложки | |
| 1/2 столовые ложки | 1.5 чайных ложек | |
| 1 щепотка | 1/8 чайной ложки | |
Как отмерить сухие ингредиенты?
Для измерения сухих ингредиентов, таких как мука, сахар, манная крупа, порошок специй и т. Д., Наполните мерный стакан или мерную ложку ингредиентом до краев, а затем выровняйте его задним краем ножа или лопатки.
Многие сухие ингредиенты, такие как сахарный песок, не очень сжимаются, поэтому измерения объема согласованы. Однако другие, особенно мука, более разнообразны.Например, 1 стакан универсальной муки, просеянной в чашку и выровненной с помощью упомянутой выше техники, весит около 100 граммов, тогда как 1 чашка универсальной муки, вынутой из контейнера и выровненной, весит около 140 граммов. Там, где это необходимо, в наших рецептах также упоминается использование сжатых или несжатых количеств.
Использование мерного стакана для измерения сыпучих продуктов, которые можно сжимать до различной степени, например, нарезанных овощей или тертого сыра, приводит к большой погрешности измерения, поэтому рекомендуется нарезать овощи и фрукты на куски для правильного измерения.
| Таблица пересчета типичных сухих ингредиентов, используемых в наших рецептах | ||
| Название | 1 чашка равна | 1/2 чашки равно |
| пшеницы | 60 г | |
| Майда (универсальная мука) | 120 г | 60 г |
| Грамм муки (безан) | 150 г | 75 г | 9122 | г |
| Рис-сырец (сырой) | 200 г | 100 г |
| Чечевица (далс) | 200 г | 100 г |
| 100 г | ||
| 100 гм | ||
| 10063 912 912 912 912 9126 | ||
| Сахарная пудра | 120 г | 60 г |
Как измерить жидкие ингредиенты?
Для измерения жидких ингредиентов, указанных в количестве, превышающем чашку, поместите мерный кувшин (большую чашку) на плоскую поверхность, налейте в него жидкость и проверьте ее на уровне глаз для измерения.Чтобы отмерить жидкие ингредиенты, указанные в количестве меньшем, чем чашка, используйте столовые ложки, чайные ложки и чашки меньшего размера (1/2 стакана, 1/4 стакана, 1/3 стакана).
| Таблица преобразований для жидкости | ||
| 1 стакан | 250 мл | |
| 3/4 стакана | 188 мл | |
| 2/3 стакана | 165 мл | |
| 1/2 стакан | 125 мл | |
| 1/3 стакана | 83 мл | |
| 1/4 стакана | 60 мл | |
| 1/8 стакана | 30 мл | |
| 1 столовая ложка | мл||
| 1/2 столовой ложки | 7.5 мл | |
| 1 чайная ложка | 5 мл | |
| 1/2 чайной ложки | 2,5 мл | |
Где купить наборы мерных стаканов?
Вы можете легко измерить набор чашек и ложек в местном магазине посуды или в интернет-магазине. Щелкните по приведенным ниже ссылкам, чтобы приобрести его на своем любимом веб-сайте.
Сколько стаканов муки в 200 граммах? | PopularAsk.net
200 грамм универсальной муки =
——————————–
22.07
66,21
1,38
1,15
Прочитать полный ответ
Ингредиент
———-
200 грамм
1 стакан
1 стакан
В связи с этим, сколько стоит 200 грамм в чашках?
чашки США Количество в граммах Количество в унциях
——- ——————————-
1/2 стакана 100 г 3,5 унции
2/3 стакана 135 г 4,7 унции
3/4 стакана 150 г 5,3 унции
1 чашка 200 г 7,1 унции
Сколько граммов в 1 стакане муки?
U.S. Metric
————————————————
1 стакан универсальной муки (USDA) 125 грамм
1 стакан универсальной муки (Золотая медаль) 130 грамм
1 стакан цельнозерновой муки (USDA) 120 граммов
1 стакан цельнозерновой муки (Золотая медаль) 128 граммов
Также, сколько 200 граммов сахара в чашках?
200 граммов сахара =
——————–
1,00
0,83
0,95
236,59
1 чашка равна 200 граммам?
Чашка граммов
——- ———
2/3 чашки 150 граммов
3/4 чашки 170 граммов
7/8 чашки 200 граммов
1 чашка 225 граммов
22 Найдено ответов на связанные вопросы
Сколько столовых ложек в 200 г? г столовые ложки
————
200.02 14.111
200.03 14.112
200.04 14.112
200.05 14.113
Чашки Граммы Унции
——- —– ——
1/4 чашки 34 г 1,2 унции
1/3 чашки 45 г 1,6 унции
1/2 чашки 68 г 2,4 унции
1 чашка 136 г 4,8 унции
200 граммов сахара =
——————–
16,00
48,00
1,00
0.83
Сколько столовых ложек муки в 200 г?
200 граммов универсальной муки =
——————————–
22,07
66,21
1,38
1,15
Сколько чашек в 200 г муки?
Сколько граммов в стакане муки?
США Метрическая система
———————————————
1 стакан универсальной муки (USDA) 125 граммов
1 стакан универсальной муки (Золотая медаль) 130 граммов
1 стакан цельнозерновой муки (USDA) 120 граммов
1 стакан цельнозерновой муки (Золотая медаль) 128 граммов
Сколько весит 2 стакана муки?
Основываясь на моем обширном тестировании и усреднении результатов по маркам муки, чашка универсальной муки весит 128 граммов.Должен ли я использовать чашки или граммы при соблюдении рецепта? 19 мая 2015 г.
Сколько граммов муки в одной чашке?
Allrecipes говорит, что одна чашка муки составляет 128 граммов. Радость выпечки весит, называя одну чашку муки 130 граммами.
Сколько граммов равна 1 чашке?
Чашки Граммы Унции
——- —– ——-
1/2 стакана 64 г 2,25 унции
2/3 стакана 85 г 3 унции
3/4 стакана 96 г 3,38 унции
1 стакан 128 г 4,5 унции
Как вы отмеряли 200 г сахара?
200 г сахара = 8 столовых ложек сахара с горкой.7 унций. Как отмерить 180 г сахара без весов ложкой? 180 г сахара = 7 столовых ложек сахара с горкой + 1 чайная ложка сахара без горки.
Последнее обновление: 12 дней назад — Соавторов: 14 — Пользователей: 4
.
